Language selection

Government of Canada

Search

Clean Electricity Regulations (SOR/2024-263)

Regulations are current to 2026-04-28 and last amended on 2025-01-01. Previous Versions

Quantification (continued)

Useful Thermal Energy

The following provision is not in force.

Marginal note:Attributed emissions (Eth)

 The quantity of CO2 emissions attributed to the production of useful thermal energy by a unit during a calendar year is determined by the formula

Hpnet × bEI

where

Hpnet
is the net quantity of useful thermal energy, expressed in GJ, determined by the formula
The sum of the products of houti and Mouti for each heat stream “i” minus the sum of the products of hinj and Minj for each heat stream “j”, summed for all time periods.

where

t
is the tth period, where “t” goes from 1 to x and where x is the total number of periods during which the unit produced useful thermal energy during the calendar year,
i
is the ith heat stream exiting the unit, where “i” goes from 1 to n and where n is the total number of heat streams exiting the unit,
houti
is the average specific enthalpy of the ith heat stream exiting the unit during period “t”, expressed in GJ/tonne and determined based on the measurement, using a continuous measuring device, of the temperature and pressure of that heat stream,
Mouti
is the mass flow of the ith heat stream exiting the unit during period “t”, expressed in tonnes and determined using a continuous measuring device,
j
is the jth heat stream, other than condensate return, entering the unit, where “j” goes from 1 to m and where m is the total number of heat streams entering the unit,
hinj
is the average specific enthalpy of the jth heat stream, other than condensate return, entering the unit during period “t”, expressed in GJ/tonne and determined based on the measurement, using a continuous measuring device, of the temperature and pressure of that heat stream, and
Minj
is the mass flow of the jth heat stream, other than condensate return, entering the unit during period “t”, expressed in tonnes and determined using a continuous measuring device; and
bEI
is the emission intensity of a reference boiler, set to 0.0556 tonnes of CO2 emissions per GJ.

Electricity Used at Facility

The following provision is not in force.

Marginal note:Attributed emissions (Eint)

 The quantity of CO2 emissions attributed to electricity generated by a unit that is used internally, during a calendar year, at the facility where the unit is located is determined by the formula

Gint × CEI

where

Gint
is the quantity of electricity generated by the unit that is used internally, during the calendar year, at the facility where the unit is located, expressed in GWh and determined by the formula

(GF − Qns) × (GU ÷ GF)

where

GF
is the sum of the total gross electricity generated by each unit at the facility that is subject to an emission limit under subsection 9(1) during the calendar year, expressed in GWh and measured for each unit at the electrical terminals of the unit’s generators,
Qns
is the net supply from the facility for the calendar year, and
GU
is the total gross electricity generated by the unit during the calendar year, expressed in GWh and measured at the electrical terminals of the unit’s generators; and
CEI
is the emission intensity of a reference unit that produces useful thermal energy, set to 250 tonnes of CO2 emissions per GWh.

Carbon Capture and Storage

The following provision is not in force.

Marginal note:CO2 captured and stored (Eccs)

  • The following provision is not in force.

     (1) The quantity of CO2 from a unit that is captured during a calendar year and stored in a storage project is determined by the formula

    Eu × (Ecap ÷ Ein)

    where

    Eu
    is the value determined for Eu in subsection 12(1) or, if applicable, subsection 27(1);
    Ecap
    is the quantity of CO2 that is the portion of Ein that has been captured and subsequently stored, during the calendar year, in a storage project that meets the conditions set out in subsection (2), expressed in tonnes and determined by means of a direct measuring device that measures the flow and concentration of CO2; and
    Ein
    is the quantity of CO2, expressed in tonnes, entering the carbon capture and storage system during the calendar year, determined, in accordance with sections 7.1 to 7.5 of the CEMS Protocol, using a CEMS that is located upstream of the carbon capture and storage system and that measures all CO2 entering the carbon capture and storage system.
  • The following provision is not in force.

    Marginal note:Conditions

    (2) For the purposes of determining the value for Eccs in subsections 12(1) and 27(1), a quantity of CO2 may only be claimed if it has been permanently stored in a storage project that meets the following conditions:

    • The following provision is not in force.

      (a) the geological site into which the CO2 is injected is

      • (i) a deep saline aquifer into which the CO2 is injected for the sole purpose of storing it, or

      • (ii) a depleted oil reservoir into which the CO2 is injected for the purpose of enhanced oil recovery; and

    • The following provision is not in force.

      (b) the CO2 stored for the purposes of the project is captured, transported and stored in accordance with the laws of Canada or a province or the laws of the United States or one of its states.

Energy carriers

The following provision is not in force.

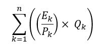
Marginal note:Emissions — hydrogen, ammonia or steam (Eext)

  • The following provision is not in force.

     (1) The quantity of CO2 emissions from the production of the hydrogen, ammonia or steam used by a unit to generate electricity during a calendar year is determined by the formula

    The sum of the multiplication of Qk by the quotient of Ek and Pk, summed for each stream “k” of hydrogen, ammonia and steam.

    where

    k
    is the kth stream of hydrogen, ammonia or steam, where “k” goes from 1 to n and where n is the number of streams of hydrogen, ammonia or steam that are used by the unit during the calendar year;
    Ek
    is the total annual CO2 emissions, expressed in tonnes, from the total annual production of the kth stream of hydrogen, ammonia or steam used by the unit during the calendar year;
    Pk
    is the total annual production of the kth stream of hydrogen, ammonia or steam during the calendar year, determined using a continuous measuring device and expressed
    • (a) in m3 at standard conditions, in the case of hydrogen and ammonia, and

    • (b) in GJ, in the case of steam; and

    Qk
    is the quantity of hydrogen or ammonia, expressed in m3 at standard conditions, or the quantity of purchased or transferred steam, expressed in GJ, in the kth stream used by the unit to generate electricity during the calendar year, determined using a continuous measuring device.
  • The following provision is not in force.

    Marginal note:Quantification of Ek and Pk

    (2) Subject to subsection (4), the responsible person must obtain the values of Ek and Pk from the supplier of the hydrogen, ammonia or steam, if any, used by the unit, determined in accordance with

    • The following provision is not in force.

      (a) section 10 of the GHGRP, in the case of hydrogen production;

    • The following provision is not in force.

      (b) section 8 of the GHGRP, in the case of ammonia production; and

    • The following provision is not in force.

      (c) section 7 of the GHGRP, in the case of steam production.

  • The following provision is not in force.

    Marginal note:Adaptation of GHGRP

    (3) For the purposes of paragraph (2)(a), the description of RCO2 in Equation 10-2 of the GHGRP is to be read as “CO2 captured and permanently stored in a storage project that meets the conditions set out in subsection 23(2) of the Clean Electricity Regulations”.

  • The following provision is not in force.

    Marginal note:Default values

    (4) If the hydrogen or ammonia used by a unit is not produced at the facility at which the unit is located or the steam used by a unit is purchased or transferred to that facility and the responsible person for the unit is not able to obtain from the supplier the information required under subsection (2), the responsible person must replace the ratio Ek ÷ Pk in subsection (1) with the following values:

    • The following provision is not in force.

      (a) 9.8312 × 10-4 tonnes of CO2/m3, in the case of hydrogen;

    • The following provision is not in force.

      (b) 1.4635 × 10-3 tonnes of CO2/m3, in the case of ammonia; and

    • The following provision is not in force.

      (c) 0.08 tonnes of CO2/GJ, in the case of steam.

Emergency Circumstances

Marginal note:Deduction

  •  (1) The responsible person for a unit may, for the purposes of subsection 12(1), deduct the quantity of CO2 emissions attributed to the unit during a deduction period and may, for the purposes of subsection 13(2), deduct the quantity of electricity generated by the unit during a deduction period if the following conditions are met:

    • (a) the electricity system operator has determined that there is an irresistible emergency event, whether natural or arising from human action, or the Minister has determined that there is a risk to human health and safety;

    • (b) in the case of an irresistible emergency event, the event is outside the control of the electricity system operator and the responsible person;

    • (c) the electricity system operator has determined that the event or risk referred to in paragraph (a) has triggered a disruption or significant risk of disruption to the electricity supply in the province in which the unit is located or in a contiguous province or state;

    • (d) the electricity system operator directs the unit to generate electricity due to the event or risk referred to in paragraph (a) in order to alleviate or materially help alleviate a disruption or significant risk of disruption to the electricity supply in the province in which the unit is located or in a contiguous province or state;

    • (e) the generation of electricity by the unit will alleviate or materially help alleviate a disruption or significant risk of disruption to the electricity supply in the province in which the unit is located or in a contiguous province or state; and

    • (f) within seven days after the day on which the direction to generate electricity referred to in paragraph (d) is received, the responsible person notifies the Minister of that direction.

  • Marginal note:Deduction period

    (2) The period for which the quantities of CO2 emissions and electricity generated may be deducted begins in the hour in which a unit operates in response to the direction to generate electricity referred to in paragraph (1)(d) and ends as follows:

    • (a) if an application for an extension of the deduction period is not submitted to the Minister in accordance with subsection 26(1), the period ends on the earlier of

      • (i) the day that is the 30th day after the day on which the direction to generate electricity was given, and

      • (ii) the hour that is 24 hours after the electricity system operator notifies the responsible person for the unit that the direction to generate electricity no longer applies; or

    • (b) if an application for an extension of the deduction period is submitted to the Minister in accordance with subsection 26(1), the period ends

      • (i) in the case of an application that is not granted, on the earlier of

        • (A) the hour that is 24 hours after the electricity system operator notifies the responsible person for the unit that the direction to generate electricity no longer applies, and

        • (B) the day that is the 45th day after the day on which the direction to generate electricity was given, and

      • (ii) in any other case, on the earlier of

        • (A) the hour that is 24 hours after the electricity system operator notifies the responsible person for the unit that the direction to generate electricity no longer applies, and

        • (B) the hour that is 24 hours after the Minister notifies the responsible person for the unit that the deduction period has ended.

  • Marginal note:Notice to Minister

    (3) The responsible person must, within seven days after the day on which the electricity system operator notifies the responsible person that the direction to generate electricity referred to in paragraph (1)(d) no longer applies, notify the Minister that the direction no longer applies.

Marginal note:Application for extension of deduction period

  •  (1) If the conditions set out in subsection 25(1) will continue to be met for more than 30 days after the day on which the unit receives the direction to generate electricity referred to in paragraph 25(1)(d), the responsible person may, within 30 days after the day on which the direction is received, apply to the Minister for an extension of the deduction period.

  • Marginal note:Contents of application

    (2) The application must include

    • (a) the registration number assigned to the unit by the Minister under subsection 7(3), if any;

    • (b) the date on which and hour at which the deduction period began;

    • (c) a description of the irresistible emergency event or risk to human health and safety that caused the electricity system operator to direct the unit to generate electricity, including

      • (i) the date on which and hour at which the event or risk began and, if applicable, the date on which and hour at which it ended,

      • (ii) the province or state in which the event or risk occurred,

      • (iii) the province or state in which the disruption or significant risk of disruption to the electricity supply occurred, and

      • (iv) information demonstrating that the unit received the direction to generate electricity to alleviate or materially help alleviate a disruption or significant risk of disruption to the electricity supply; and

    • (d) if the direction to generate electricity is due to the electricity system operator determining that there is an irresistible emergency event, information, along with supporting documents, demonstrating that

      • (i) the electricity system operator determined that an irresistible emergency event occurred,

      • (ii) the event was outside the control of the electricity system operator and the responsible person for the unit,

      • (iii) the irresistible emergency event caused the disruption or significant risk of disruption to the electricity supply that the direction to generate electricity is intended to alleviate or materially help alleviate, and

      • (iv) the disruption or significant risk of disruption to the electricity supply arising from the event will continue for more than 30 days after the day on which the deduction period began.

  • Marginal note:Minister’s decision

    (3) If the Minister is satisfied that the conditions set out in subsection 25(1) will continue to be met, the Minister must, within 10 days after the day on which the application is received, grant an extension of the deduction period.

  • Marginal note:Irresistible emergency event

    (4) Before granting an extension of a deduction period based on an irresistible emergency event, the Minister must be satisfied that

    • (a) the event occurred;

    • (b) the event is outside the control of the electricity system operator and the responsible person for the unit;

    • (c) the disruption or significant risk of disruption to the electricity supply arising from the event will continue; and

    • (d) the generation of electricity by the unit will alleviate or materially help alleviate the disruption or significant risk of disruption to the electricity supply in the province in which the unit is located or in a contiguous province or state.

 

Page Details

Date modified: