Language selection

Government of Canada

Search

Clean Electricity Regulations (SOR/2024-263)

Regulations are current to 2026-04-28 and last amended on 2025-01-01. Previous Versions

Clean Electricity Regulations

SOR/2024-263

CANADIAN ENVIRONMENTAL PROTECTION ACT, 1999

Registration 2024-12-13

Clean Electricity Regulations

P.C. 2024-1317 2024-12-13

Whereas, under subsection 332(1)Footnote a of the Canadian Environmental Protection Act, 1999Footnote b, the Minister of the Environment published in the Canada Gazette, Part I, on August 19, 2023, a copy of the proposed Clean Electricity Regulations, and persons were given an opportunity to file comments with respect to the proposed Regulations or to file a notice of objection requesting that a board of review be established and stating the reasons for the objection;

Whereas, under subsection 93(3) of that Act, the National Advisory Committee has been given an opportunity to provide its advice under section 6Footnote c of that Act;

And whereas, in the opinion of the Governor in Council, under subsection 93(4) of that Act, the proposed Regulations do not regulate an aspect of a substance that is regulated by or under any other Act of Parliament in a manner that provides, in the opinion of the Governor in Council, sufficient protection to the environment and human health;

Therefore, Her Excellency the Governor General in Council, on the recommendation of the Minister of the Environment and the Minister of Health, makes the annexed Clean Electricity Regulations under subsection 93(1)Footnote d, sections 286.1Footnote e and 326Footnote f and subsection 330(3.2)Footnote g of the Canadian Environmental Protection Act, 1999Footnote b.

Purpose

Marginal note:Purpose

 The purpose of these Regulations is to protect the environment and human health from the threat of climate change by establishing a regime that prohibits excessive carbon dioxide (CO2) emissions from the use of fossil fuel to generate electricity.

Interpretation

Marginal note:Definitions

  •  (1) The following definitions apply in these Regulations.

    ASTM

    ASTM means ASTM International. (ASTM)

    auditor

    auditor means an individual who

    • (a) is independent of the responsible person that is to be audited; and

    • (b) has knowledge of and experience with respect to

      • (i) the certification, operation and relative accuracy test audit of continuous emission monitoring systems, and

      • (ii) quality assurance and quality control procedures in relation to those systems. (vérificateur)

    authorized official

    authorized official means

    • (a) in respect of a responsible person who is an individual, that individual or an individual who is authorized to act on that individual’s behalf;

    • (b) in respect of a responsible person that is a corporation, an officer of the corporation that is authorized to act on its behalf; and

    • (c) in respect of a responsible person that is another entity, an individual who is authorized to act on its behalf. (agent autorisé)

    biogas

    biogas means a gaseous mixture — including landfill gas and sludge digestion gas — that consists primarily of methane and CO2 that is recovered from the anaerobic decomposition of biomass and that contains other constituents that prevent it from meeting the standard for injection into the nearest natural gas pipeline. (biogaz)

    biomass

    biomass means material that originates from plants or animals, including animal waste, or any product derived from any of these, and includes wood, wood products, agricultural residues, biologically derived organic matter in municipal or industrial wastes, biogas, renewable natural gas, bio-alcohols, pulping liquor and other fuels that consist only of non-fossilized, biodegradable organic material that originates from plants or animals but does not originate from a geological formation. (biomasse)

    Canadian offset credit

    Canadian offset credit means

    • (a) an offset credit issued under subsection 29(1) of the Canadian Greenhouse Gas Offset Credit System Regulations; or

    • (b) a unit or credit that is recognized under subsection 78(1) of the Output-Based Pricing System Regulations and meets the conditions set out in paragraphs 78(4)(a) to (d) of those Regulations. (crédit compensatoire canadien)

    CEMS Protocol

    CEMS Protocol means the document entitled Protocols and performance specifications for continuous monitoring of gaseous emissions from thermal power generation and other sources, published by the Department of the Environment in 2023. (Protocole SMECE)

    coal

    coal includes petroleum coke and synthetic gas that is derived from coal or petroleum coke. (charbon)

    combustion engine

    combustion engine means an engine, other than an engine that is self-propelled or designed to be propelled while performing its function, that

    • (a) operates according to the Brayton thermodynamic cycle and combusts fossil fuel to produce a net amount of motive power; or

    • (b) combusts fossil fuel and uses reciprocating motion to convert thermal energy into mechanical work. (moteur à combustion)

    commissioning date

    commissioning date, in respect of a unit, means the day on which the oldest boiler or combustion engine in the unit starts operating. (date de mise en service)

    continuous emission monitoring system

    continuous emission monitoring system or CEMS means equipment for the sampling, conditioning and analyzing of emissions from a given source and the recording of data related to those emissions. (système de mesure et d’enregistrement en continu des émissions ou SMECE)

    deduction period

    deduction period means the period for which the beginning and end is determined in accordance with subsection 25(2). (période de déduction)

    electricity generation capacity

    electricity generation capacity means the capacity of a unit, expressed in MW and determined in accordance with section 6. (capacité de production d’électricité)

    electricity system

    electricity system means an electricity system that is subject to the standards of the North American Electric Reliability Corporation. (réseau électrique)

    electricity system operator

    electricity system operator, in respect of a unit, means the person that operates the electricity system within a province and to which the unit is required to report in order to transmit electricity to the electricity system. (exploitant de réseau électrique)

    facility

    facility means the units, buildings, other structures and stationary equipment — including equipment used for hydrogen or ammonia production and equipment used for fuel production from coal gasification — that have in common at least one owner or person who has the charge, management or control of each of them and that are located on a single site, or on contiguous or adjacent sites that function as a single integrated site, where an industrial activity is carried out. (installation)

    fossil fuel

    fossil fuel means a fuel, other than biomass, that releases CO2 when combusted or that is produced using a process that results in CO2 emissions. (combustible fossile)

    GHGRP

    GHGRP means the document entitled Canada’s Greenhouse Gas Quantification Requirements, Greenhouse Gas Reporting Program, Version 5.0, published by the Department of the Environment in December 2021. (PDGES)

    maximum continuous rating

    maximum continuous rating means the maximum net power that a unit can continuously sustain, expressed in MW, as reported to the electricity system operator for the unit. (puissance maximale continue)

    net supply

    net supply means the quantity of electricity supplied to an electricity system during a calendar year, expressed in GWh and determined in accordance with subsection 13(2). (solde de fourniture)

    planned unit

    planned unit means a unit referred to in section 3. (groupe prévu)

    renewable natural gas

    renewable natural gas means natural gas that meets the standard for injection into the nearest natural gas pipeline and that is either gas derived from the processing of biogas or synthetic natural gas derived from biomass. (gaz naturel renouvelable)

    responsible person

    responsible person means an owner or a person that has the charge, management or control of a unit. (personne responsable)

    standard conditions

    standard conditions means a temperature of 15˚C and a pressure of 101.325 kPa. (conditions normales)

    unit

    unit means an assembly consisting of equipment that is physically connected and that operates together to generate electricity, including at least one boiler or combustion engine along with any other equipment, such as duct burners or other combustion devices, heat recovery systems, steam turbines, generators, emission control devices and carbon capture and storage systems. (groupe)

    useful thermal energy

    useful thermal energy means energy in the form of steam or hot water that is destined for a use, other than the generation of electricity, that would have required the consumption of energy in the form of fuel or electricity had that steam or hot water not been used. (énergie thermique utile)

  • Marginal note:Carbon capture and storage

    (2) For the purposes of the definition unit in subsection (1), equipment that is connected only by a carbon capture and storage system is not considered to be physically connected. However, that carbon capture and storage system is considered to be part of each unit to which it is connected.

Marginal note:Planned unit

 A unit is planned if its commissioning date is within the period that begins on January 1, 2025 and ends on December 31, 2034 and if the Minister is satisfied that the unit is substantially the same on its commissioning date as the unit in relation to which the following criteria were met:

  • (a) on or before December 31, 2025,

    • (i) all information required to initiate any impact assessment or environmental assessment required in relation to the unit under a federal or provincial law has been submitted to the relevant authority,

    • (ii) the proponent responsible for the development of the unit owns or has a lease for the land on which the unit is located,

    • (iii) all information required to initiate the process to obtain any permit required to begin construction at the site where the unit is located has been submitted to the relevant authority, and

    • (iv) contracts with a value of at least $10 million have been entered into for the purchase of any equipment referred to in the definition unit in subsection 2(1) for use in the unit; and

  • (b) on or before December 31, 2027, construction has begun at the site where the unit is located.

Marginal note:Incorporation by reference

  •  (1) A reference to any document incorporated by reference into these Regulations, other than the GHGRP and the CEMS Protocol, is a reference to the most recently published version of the document.

  • Marginal note:Interpretation of documents incorporated by reference

    (2) For the purposes of interpreting any document that is incorporated by reference into these Regulations, “should” is to be read as “must” and any recommendation or suggestion is to be read as an obligation.

  • Marginal note:Adaptation of GHGRP

    (3) For the purposes of these Regulations, any reference in the GHGRP to the document entitled Reference Method for Source Testing: Quantification of Carbon Dioxide Releases by Continuous Emission Monitoring Systems from Thermal Power Generation is to be read as a reference to the CEMS Protocol.

  • Marginal note:Adaptation of CEMS Protocol

    (4) For the purposes of these Regulations, the CEMS Protocol is to be read as follows:

    • (a) the references to “appropriate regulatory authority”, “applicable regulating authority”, “appropriate regulatory agency” and “corresponding regulating authority” are to be read as references to the Minister, except in section 5.3.1, where “the appropriate regulatory authority” is to be read as “subsection 46(1) of the Clean Electricity Regulations”; and

    • (b) the reference to “the most recent version of the ECCC Canada’s Greenhouse Gas Quantification Requirements” in section 7.1 is to be read as a reference to “section 16 of the Clean Electricity Regulations”.

Application

Marginal note:Criteria

  •  (1) These Regulations begin to apply in respect of a unit on the day on which the unit meets the following criteria and, subject to subsection 43(2), continue to apply until the responsible person for the unit submits the notice of permanent cessation of electricity generation in accordance with subsection 43(1):

    • (a) the unit has an electricity generation capacity of at least 25 MW;

    • (b) the unit generates electricity using fossil fuel; and

    • (c) the unit is connected, directly or indirectly, to an electricity system.

  • Marginal note:Sum of electricity generation capacity

    (2) Subject to subsection (3), a unit that has an electricity generation capacity of less than 25 MW is deemed to meet the criterion set out in paragraph (1)(a) if

    • (a) the unit’s commissioning date is on or after January 1, 2025; and

    • (b) the sum of the electricity generation capacity of all units, other than planned units, that are located at the facility where the unit is located and that have commissioning dates on or after January 1, 2025 is at least 25 MW.

  • Marginal note:Non-application — planned units

    (3) These Regulations do not apply in respect of a planned unit that has an electricity generation capacity of less than 25 MW.

Marginal note:Electricity generation capacity

  •  (1) Subject to subsection (6), a unit’s electricity generation capacity is

    • (a) the unit’s maximum gross power, measured at the electrical terminals of the unit’s generators and determined in accordance with subsections (2) to (4); or

    • (b) if the responsible person has not determined the unit’s maximum gross power, the unit’s most recent maximum continuous rating.

  • Marginal note:Performance test

    (2) To determine a unit’s maximum gross power, the responsible person must conduct, in the presence of the performance test verifier referred to in subsection (3), a performance test that

    • (a) is conducted on or after January 1, 2025;

    • (b) is a continuous test that lasts at least two hours;

    • (c) does not compromise the continued operation of the unit by exceeding the operating specifications for temperature, pressure or electrical conductivity recommended by the manufacturer of the equipment that is part of the unit;

    • (d) does not require that the planned maintenance schedule of the unit be altered; and

    • (e) has results that are adjusted to standard conditions.

  • Marginal note:Performance test verifier

    (3) The performance test verifier is an individual who

    • (a) is independent of the responsible person; and

    • (b) has demonstrated knowledge of the performance testing of units that generate electricity using fossil fuel and at least five years’ experience with respect to such testing.

  • Marginal note:Performance test report

    (4) A responsible person that conducts a performance test must submit to the Minister a performance test report prepared by the performance test verifier that contains the information set out in Schedule 1.

  • Marginal note:Report submitted after registration

    (5) A responsible person that submits a performance test report for a unit after the registration report for the unit is submitted under subsection 7(1), paragraph 7(2)(a) or subsection 8(2) must submit to the Minister, no later than 60 days after the day on which the test is conducted, the performance test report along with the updated registration report referred to in subsection 7(4).

  • Marginal note:Change of electricity generation capacity

    (6) If, during a calendar year in which a unit is subject to an emission limit under subsection 9(1), the maximum gross power or maximum continuous rating of the unit changes, the unit’s electricity generation capacity for that calendar year is determined by the formula

    The sum of the products of Ci and Di divided by N for each period “i” of a calendar year.

    where

    i
    is the ith period of the calendar year, where “i” goes from 1 to n and where n is the number of periods in the calendar year during which the unit’s electricity generation capacity differs from the preceding or subsequent period;
    Ci
    is the electricity generation capacity of the unit during the ith period of the calendar year;
    Di
    is the length of the ith period of the calendar year, expressed in days; and
    N
    is the number of days during the calendar year that the unit’s electricity generation capacity is greater than zero.
  • Marginal note:Rounding

    (7) The electricity generation capacity determined under subsection (2) or (6) is to be rounded to the nearest whole number or, if equidistant between two consecutive whole numbers, to the higher number.

Registration

Marginal note:Registration report

  •  (1) Subject to section 8, the responsible person for a unit that meets the criteria set out in section 5 must submit to the Minister a registration report for the unit that contains the information set out in Schedule 2 by the later of

    • (a) December 31, 2025, and

    • (b) the 60th day after the day on which the unit meets the criteria set out in section 5.

  • Marginal note:Modification of a unit

    (2) If a unit for which a registration report has been submitted under subsection (1) is modified, such as by adding or removing a piece of equipment or changing how equipment is physically connected, and that modification results in the creation of one or more units that meet the criteria set out in section 5, the responsible person must submit to the Minister

    • (a) a registration report for each unit that was created that contains the information set out in Schedule 2 within 60 days after the day on which the unit was created; and

    • (b) the notice of permanent cessation of electricity generation referred to in subsection 43(1) for the original unit or the updated registration report referred to in subsection (4) for that unit.

  • Marginal note:Registration number

    (3) On receipt of the registration report referred to in subsection (1), paragraph (2)(a) or subsection 8(2), the Minister must assign a registration number to the unit and inform the responsible person of that registration number.

  • Marginal note:Updated registration report

    (4) If there is a change to any information submitted under this section or subsection 8(2), the responsible person must submit to the Minister, no later than 60 days after the day on which the change occurs, an updated registration report for the unit that contains the information set out in Schedule 2.

Marginal note:Subunits

  •  (1) A responsible person may register a unit as multiple subunits if

    • (a) each subunit would be a unit as defined in subsection 2(1) if it were not physically connected to any of the other subunits;

    • (b) each subunit has a maximum continuous rating;

    • (c) each subunit produces useful thermal energy;

    • (d) each boiler and combustion engine, as well as any other equipment that is part of the unit, is accounted for in one of the subunits; and

    • (e) either each boiler and combustion engine in the unit started operating on or before December 31, 2024 or each boiler and combustion engine was part of a planned unit on the unit’s commissioning date.

  • Marginal note:Registration report

    (2) To register a unit as multiple subunits, the responsible person must

    • (a) in the case of a unit for which a registration report has not been submitted under section 7, submit to the Minister a registration report for each subunit that contains the information set out in Schedule 2 by the later of

      • (i) December 31, 2025, and

      • (ii) the 60th day after the day on which the unit meets the criteria set out in section 5; or

    • (b) in the case of a unit for which a registration report has been submitted under section 7, submit to the Minister the following reports no later than the day before the day on which any of the subunits would, if registered, be subject to an emission limit under subsection 9(1):

      • (i) an updated registration report for the unit that contains the information set out in Schedule 2 in respect of one of the subunits, and

      • (ii) a registration report for each of the other subunits that contains the information set out in Schedule 2.

  • Marginal note:Consequences of registration

    (3) If a unit is registered as multiple subunits in accordance with subsection (2),

    • (a) each subunit is deemed to be a unit to which these Regulations apply; and

    • (b) these Regulations, other than this section, cease to apply in respect of the unit that is registered as multiple subunits.

  • Marginal note:Permanent cessation

    (4) A registered subunit is no longer deemed to be a unit, other than for the purposes of subsection 43(2), beginning on the day on which the responsible person for the subunit submits the notice of permanent cessation of electricity generation referred to in subsection 43(1).

  • Marginal note:Notice — maximum continuous rating

    (5) The responsible person for a unit that has been registered as multiple subunits must notify the Minister, no later than 60 days after the day on which the change occurs, if the sum of the maximum continuous rating for each of the subunits increases by 15% or more from the sum of the maximum continuous ratings reported in the registration reports submitted for the subunits under subsection (2).

  • Marginal note:Application of emission limit

    (6) If, on the day on which the increase referred to in subsection (5) occurs, one or more of the subunits has not reached the end of its prescribed life, as determined in accordance with subsection 10(3) or section 11, subsection 9(1) begins to apply in respect of each of those subunits on the later of

    • (a) January 1, 2035, and

    • (b) January 1 of the calendar year following the year in which the increased maximum continuous rating was reported to the electricity system operator.

Prohibition

The following provision is not in force.

Marginal note:Emission limit

  • The following provision is not in force.

     (1) The responsible person for a unit must not emit from the unit in a calendar year a quantity of CO2, determined in accordance with section 12, that exceeds the limit, expressed in tonnes, determined by the formula

    C × Iel × 8760 × 0.001

    where

    C
    is the unit’s electricity generation capacity for the calendar year; and
    Iel
    is the emissions intensity applicable to the calendar year and is
    • (a) 65 tonnes of CO2 emissions per GWh for the 2035 to 2049 calendar years, and

    • (b) 0 tonnes of CO2 emissions per GWh for the 2050 and subsequent calendar years.

  • The following provision is not in force.

    Marginal note:Rounding

    (2) The emission limit determined under subsection (1) is to be rounded to the nearest whole number or, if equidistant between two consecutive whole numbers, to the higher number.

Marginal note:Non-application — end of prescribed life

  •  (1) Subject to subsection (2), subsections 9(1), 12(1) and 13(1) do not apply in respect of a unit, other than one that combusts coal, until January 1 of the calendar year following the unit’s end of prescribed life if it

    • (a) has a commissioning date after December 31, 2009 but before January 1, 2025;

    • (b) is a planned unit; or

    • (c) is a boiler unit referred to in subsection 3(4) of the Regulations Limiting Carbon Dioxide Emissions from Natural Gas-fired Generation of Electricity that has an end of prescribed life after December 31, 2034.

  • Marginal note:Increase in maximum continuous rating

    (2) Subsections 9(1), 12(1) and 13(1) begin to apply in respect of a unit referred to in subsection (1) on the later of the following dates if the maximum continuous rating for the unit increases by 15% or more from the maximum continuous rating reported in the registration report submitted for the unit under subsection 7(1), paragraph 7(2)(a) or subsection 8(2):

    • (a) January 1, 2035, and

    • (b) January 1 of the calendar year following the year in which the increased maximum continuous rating was reported to the electricity system operator.

  • Marginal note:Date of end of prescribed life

    (3) For the purposes of subsection (1) but subject to section 11, a unit’s end of prescribed life is on

    • (a) December 31 of the calendar year that is 25 years after the unit’s commissioning date, in the case of a unit referred to in paragraph (1)(a);

    • (b) December 31, 2049, in the case of a planned unit; and

    • (c) December 31 of the calendar year before the prohibition set out in subsection 4(2) of the Regulations Limiting Carbon Dioxide Emissions from Natural Gas-fired Generation of Electricity would have applied to the unit, as determined under that subsection, in the case of a unit referred to in paragraph (1)(c).

Marginal note:Election

  •  (1) For the purposes of subsection 10(1), the responsible person for a unit may elect to end the unit’s prescribed life on a date that is before the date set out for the unit in subsection 10(3) and that is no earlier than December 31, 2034.

  • Marginal note:Information

    (2) The responsible person must, in order to make the election, submit the following information to the Minister on or before the date that is elected to be the unit’s end of prescribed life:

    • (a) the registration number assigned to the unit by the Minister under subsection 7(3); and

    • (b) the date that is elected as the unit’s end of prescribed life.

  • Marginal note:Election permanent

    (3) An election made under this section may not be changed or revoked.

Obligations

The following provision is not in force.

Marginal note:CO2 emissions from unit

  • The following provision is not in force.

     (1) The responsible person for a unit must determine the quantity of CO2, expressed in tonnes, emitted from the unit in each calendar year in accordance with the formula

    E − Coff − Cc

    where

    E
    is the quantity of CO2 emissions attributed to the unit for the calendar year, expressed in tonnes and determined by the formula

    Eu − Eth − Eint − Eccs + Eext − Eec

    where

    Eu
    is the quantity of CO2 emissions from the combustion of fossil fuel in the unit during the calendar year, determined in accordance with subsection (3),
    Eth
    is the quantity of CO2 emissions attributed to the production of useful thermal energy by the unit during the calendar year, determined in accordance with section 21,
    Eint
    is the quantity of CO2 emissions attributed to electricity generated by the unit that is used internally, during the calendar year, at the facility where the unit is located and is
    • (a) equal to zero, in the case of

      • (i) any calendar year in which the unit does not produce useful thermal energy,

      • (ii) any unit, other than a planned unit, that has a commissioning date after December 31, 2024, and

      • (iii) every calendar year after 2049, and

    • (b) determined in accordance with section 22, in any other case,

    Eccs
    is the quantity of CO2 captured from the unit during the calendar year and stored in a storage project, determined in accordance with section 23,
    Eext
    is the quantity of CO2 emissions from the production of the hydrogen, ammonia and purchased or transferred steam used by the unit to generate electricity during the calendar year, determined in accordance with section 24, and
    Eec
    is the quantity of CO2 emissions attributed to the unit for any deduction period during the calendar year, determined in accordance with section 27;
    Coff
    is the quantity of CO2, expressed in tonnes, that corresponds to the number of Canadian offset credits remitted for the unit for the calendar year in accordance with section 28; and
    Cc
    is the quantity of CO2, expressed in tonnes, that corresponds to the number of compliance credits remitted for the unit for the calendar year in accordance with section 33.
  • The following provision is not in force.

    Marginal note:Rounding

    (2) The quantity determined for E under subsection (1) is to be rounded to the nearest whole number or, if equidistant between two consecutive whole numbers, to the higher number.

  • The following provision is not in force.

    Marginal note:Combustion of fossil fuel (Eu)

    (3) The quantity referred to in the description of Eu in subsections (1) and 27(1) must be determined in accordance with

    • The following provision is not in force.

      (a) section 15, in the case of a unit that combusted fossil fuel from a coal gasification system during the calendar year;

    • The following provision is not in force.

      (b) section 16, in the case of a unit that combusted biomass and combusted fossil fuel from a coal gasification system during the calendar year;

    • The following provision is not in force.

      (c) section 19, in the case of a unit that combusted biomass but did not combust fossil fuel from a coal gasification system during the calendar year; and

    • The following provision is not in force.

      (d) section 15 or 19, in any other case.

  • The following provision is not in force.

    Marginal note:Default value

    (4) Despite subsection (1), the responsible person for a unit may elect to assign a value of zero to any of Eth, Eint, Eccs and Eec when determining, for the unit, the quantity referred to in the description of E in that subsection.

  • The following provision is not in force.

    Marginal note:Definition of coal gasification system

    (5) For the purposes of subsection (3), coal gasification system includes a coal gasification system that is in part located underground.

Marginal note:Net supply

  • The following provision is not in force.

     (1) The responsible person for a unit must, for each calendar year, determine the net supply from the facility where the unit is located.

  • Marginal note:Determination

    (2) The net supply from a facility is determined by the formula

    Qt − Qr − Qa − Qna − Qec

    where

    Qt
    is the quantity of electricity transmitted from the facility to an electricity system during the calendar year;
    Qr
    is the quantity of electricity transmitted to the facility from an electricity system during the calendar year;
    Qa
    is the quantity of electricity allocated to the facility for the calendar year in accordance with subsection (4);
    Qna
    is the sum of the quantities of electricity generated at the facility during the calendar year by
    • (a) any unit that has not reached the end of its prescribed life as determined in accordance with subsection 10(3) or section 11,

    • (b) any unit to which these Regulations do not apply, other than a unit that has been registered as multiple subunits in accordance with section 8, and

    • (c) any source of electricity generation at the facility that is not a unit; and

    Qec
    is the sum of the quantities of electricity generated by any unit located at the facility, other than a unit referred to in the description of Qna, during any deduction period during the calendar year.
  • Marginal note:Measurement

    (3) The quantities of electricity referred to in subsection (2) must be expressed in GWh and must be measured

    • (a) in the case of the quantities referred to in the descriptions of Qt, Qr and Qa, using meters that measure the transfer of electricity; and

    • (b) in the case of the quantities referred to in the descriptions of Qna and Qec, at the electrical terminals of the generators of the unit or, in the case of a source of electricity generation that is not a unit, at the electrical terminals of the source.

  • Marginal note:Electricity allocated to facility (Qa)

    (4) A quantity must not be assigned to Qa in subsection (2) unless, during the calendar year for which the quantity is assigned, the facility transmits electricity to an electricity system and supplies useful thermal energy to a recipient facility and the following conditions are met:

    • (a) the recipient facility is not a facility where a unit to which these Regulations apply is located;

    • (b) the quantity assigned to Qa does not exceed the quantity of electricity transmitted to the recipient facility from the electricity system during that calendar year; and

    • (c) the responsible person obtains from the recipient facility documentation that

      • (i) indicates the quantity of electricity transmitted to the recipient facility from the electricity system during the calendar year, and

      • (ii) demonstrates that the quantity of electricity was measured using an electricity meter that is installed, maintained and calibrated in accordance with subsections 36(1) and (2) and that enables measurements to be made in accordance with subsection 36(3).

  • Marginal note:Overlapping deduction periods

    (5) A quantity of electricity generated by a unit must not be included in more than one deduction period for the purposes of determining the quantity for Qec in subsection (2).

Exemptions

Marginal note:Net supply ≤ 0

  •  (1) The responsible person for a unit is exempt from the application of subsection 9(1) and sections 39 and 41 with respect to the unit for any calendar year in which the net supply from the facility where the unit is located is zero or less.

  • Marginal note:Declaration of net supply

    (2) The responsible person for a unit is exempt from the application of sections 12 and 15 to 24 with respect to the unit if

    • (a) the net supply from the facility where the unit is located is zero or less for each calendar year in which subsection 13(1) applies in respect of the unit; and

    • (b) the responsible person submits to the Minister a declaration of net supply in accordance with subsections (3) and (4).

  • Marginal note:Contents

    (3) The declaration must contain

    • (a) the registration number assigned to each unit located at the facility by the Minister under subsection 7(3);

    • (b) a statement that the facility operates in such a manner that it is reasonable to conclude that the net supply from the facility will be zero or less for each calendar year in which subsection 13(1) applies in respect of the unit; and

    • (c) an attestation, dated and signed by the responsible person or its authorized official, that the declaration is accurate and complete.

  • Marginal note:Submission date

    (4) The declaration must be submitted within the 12 months before any unit at the facility would have been subject to an emission limit under subsection 9(1) had the unit not been subject to an exemption, under subsection (1), from the application of that subsection.

  • Marginal note:End of exemption

    (5) The exemption referred to in subsection (2) ends on December 31 of the calendar year before any calendar year in which the net supply from the facility is greater than zero.

Quantification

Combustion of Fossil Fuel

Continuous Emission Monitoring Systems

The following provision is not in force.

Marginal note:Quantification with CEMS

  • The following provision is not in force.

     (1) For the purposes of paragraphs 12(3)(a) and (d), the quantity of CO2 emissions from the combustion of fossil fuel in a unit during a calendar year must be measured using a CEMS and is determined, subject to section 17, in accordance with sections 7.1 to 7.5 of the CEMS Protocol.

  • The following provision is not in force.

    Marginal note:Multiple CEMS

    (2) The quantity of CO2 emissions from a unit equipped with multiple CEMS is determined by adding together the quantity of CO2 emissions measured by each CEMS.

The following provision is not in force.

Marginal note:Combustion of biomass

  • The following provision is not in force.

     (1) For the purposes of paragraph 12(3)(b), the quantity of CO2 emissions from the combustion of fossil fuel in a unit during a calendar year must be measured using a CEMS and is determined by the formula

    Ecomb × (Vff ÷ VT) − Es

    where

    Ecomb
    is the quantity of CO2 emissions from the unit, expressed in tonnes, from the combustion of fossil fuel and biomass during the calendar year, determined in accordance with section 15 or 17, as applicable;
    Vff
    is the volume of CO2 emissions from the combustion of fossil fuel in the unit during the calendar year, expressed in m3 at standard conditions and determined by the formula
    The sum of the products resulting from the multiplication of Qi, Fc,i and HHVi for each fossil fuel type “i”.

    where

    i
    is the ith fossil fuel type combusted in the unit during the calendar year, where “i” goes from 1 to n and where n is the number of fossil fuel types combusted,
    Qi
    is the quantity of fossil fuel type “i” combusted in the unit during the calendar year, determined
    • (a) for a gaseous fuel, in the same manner used in the determination of Vf in paragraph 20(1)(a) and expressed in m3 at standard conditions,

    • (b) for a liquid fuel, in the same manner used in the determination of Vf in paragraph 20(1)(b) and expressed in kL, and

    • (c) for a solid fuel, in the same manner used in the determination of Mf in paragraph 20(1)(c) and expressed in tonnes,

    Fc,i
    is the fuel-specific carbon-based F-factor for each fossil fuel type “i” — being either the F-factor set out in Appendix A of the CEMS Protocol or, for fuels not listed in that Appendix, the F-factor determined in accordance with that Appendix — corrected to be expressed in m3 of CO2/GJ at standard conditions, and
    HHVi
    is the higher heating value for each fossil fuel type “i” that is measured in accordance with subsection (2) or the default higher heating value set out in column 2 of Schedule 3 for the fuel type set out in column 1;
    VT
    is the volume of CO2 emissions resulting from combustion of fossil fuel and biomass in the unit during the calendar year, expressed in m3 at standard conditions and determined by the formula
    The sum of the products of 0.01, CO2w,t and Qw,t for each hour “t”.

    where

    t
    is the tth hour, where “t” goes from 1 to n and where n is the total number of hours during which the unit generated electricity in the calendar year,
    CO2w,t
    is the average concentration of CO2 in relation to all gases in the stack emitted from the combustion of fuel in the unit during each hour “t” — or, if applicable, a calculation made in accordance with section 7.4 of the CEMS Protocol of that average concentration of CO2 based on a measurement of the concentration of oxygen (O2) in those gases in the stack — expressed as a percentage on a wet basis, and
    Qw,t
    is the average volumetric flow during that hour, measured on a wet basis by a stack gas volumetric flow monitor and expressed in m3 at standard conditions; and
    Es
    is the quantity of CO2 emissions, expressed in tonnes, that is released from the use of sorbent to control the emission of sulphur dioxide from the unit during the calendar year, as determined by the formula

    S × R × (44 ÷ MMs)

    where

    S
    is the quantity of sorbent, such as calcium carbonate (Ca‍CO3), expressed in tonnes,
    R
    is the stoichiometric ratio, on a mole fraction basis, of CO2 released on usage of one mole of sorbent, which is equal to 1 if the sorbent is Ca‍CO3, and
    MMs
    is the molecular mass of the sorbent, which is equal to 100 if the sorbent is Ca‍CO3.
  • The following provision is not in force.

    Marginal note:Higher heating value (HHVi)

    (2) The higher heating value of a fossil fuel must be measured

    • The following provision is not in force.

      (a) in the case of a gaseous fuel,

      • (i) in accordance with one of the following standards, as applicable:

        • (A) ASTM D1826, entitled Standard Test Method for Calorific (Heating) Value of Gases in Natural Gas Range by Continuous Recording Calorimeter,

        • (B) ASTM D3588, entitled Standard Practice for Calculating Heat Value, Compressibility Factor, and Relative Density of Gaseous Fuels,

        • (C) ASTM D4891, entitled Standard Test Method for Heating Value of Gases in Natural Gas and Flare Gases Range by Stoichiometric Combustion,

        • (D) Gas Processors Association Standard 2172, entitled Calculation of Gross Heating Value, Relative Density, Compressibility and Theoretical Hydrocarbon Liquid Content for Natural Gas Mixtures for Custody Transfer, or

        • (E) Gas Processors Association Standard 2261, entitled Analysis for Natural Gas and Similar Gaseous Mixtures by Gas Chromatography, or

      • (ii) by means of a direct measuring device, except that if the measuring device provides only lower heating values, those lower heating values must be converted to higher heating values;

    • The following provision is not in force.

      (b) in the case of a liquid fuel that is

      • (i) an oil or a liquid fuel derived from waste, in accordance with one of the following standards, as applicable:

        • (A) ASTM D240, entitled Standard Test Method for Heat of Combustion of Liquid Hydrocarbon Fuels by Bomb Calorimeter, or

        • (B) ASTM D4809, entitled Standard Test Method for Heat of Combustion of Liquid Hydrocarbon Fuels by Bomb Calorimeter (Precision Method), and

      • (ii) any other liquid fuel type, in accordance with an applicable ASTM standard for the measurement of the higher heating value of the fuel type or, if there is no such ASTM standard, in accordance with an applicable internationally recognized method; and

    • The following provision is not in force.

      (c) in the case of a solid fuel that is

      • (i) coal, in accordance with ASTM D5865, entitled Standard Test Method for Gross Calorific Value of Coal and Coke, and

      • (ii) any other solid fuel type, in accordance with an applicable ASTM standard for the measurement of the higher heating value of the fuel type or, if there is no such ASTM standard, in accordance with an applicable internationally recognized method.

The following provision is not in force.

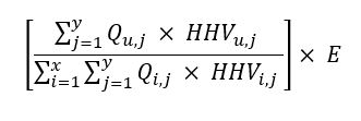
Marginal note:Units sharing CEMS

 If a unit is located at a facility where there are one or more other units and a CEMS measures emissions from that unit and at least one other unit at a common stack rather than at the exhaust duct of each unit that shares the common stack, the quantity of CO2 emissions attributed to that unit is determined, based on the ratio of the heat input of that unit to the total heat input of all the units sharing the common stack, by the formula

The product of the multiplication of E and the quotient of the following two sums: the sum of the product resulting from the multiplication of Quj and HHVuj for each fuel type “j” combusted in that unit “u” during the calendar year and the sum, for each unit “i” that shares a common stack, of the sum of the product resulting from the multiplication of Qij and HHVij for each fuel type “j” combusted during the calendar year.

where

j
is the jth fuel type combusted during the calendar year in a unit where “j” goes from 1 to y and where y is the number of fuel types combusted;
Qu,j
is the quantity of fuel type “j” combusted in the unit “u” during the calendar year, determined
  • (a) for a gaseous fuel, in the same manner used in the determination of Vf in paragraph 20(1)(a) and expressed in m3 at standard conditions,

  • (b) for a liquid fuel, in the same manner used in the determination of Vf in paragraph 20(1)(b) and expressed in kL, and

  • (c) for a solid fuel, in the same manner used in the determination of Mf in paragraph 20(1)(c) and expressed in tonnes;

HHVu,j
is the higher heating value for each fuel type “j” combusted in the unit “u” that is measured in accordance with subsection 16(2) or the default higher heating value set out in column 2 of Schedule 3 for the fuel type set out in column 1;
i
is the ith unit, where “i” goes from 1 to x and where x is the number of units that share the common stack;
Qi,j
the quantity of fuel type “j” combusted in each unit “i” during the calendar year, determined for a gaseous fuel, a liquid fuel and a solid fuel, respectively, in the manner set out in the description of Qu,j;
HHVi,j
is the higher heating value for each fuel type “j” combusted in each unit “i” that is measured in accordance with subsection 16(2) or the default higher heating value set out in column 2 of Schedule 3 for the fuel type set out in column 1; and
E
is the quantity of CO2 emissions, expressed in tonnes, from the combustion of all fuels in all the units that share the common stack during the calendar year, measured using a CEMS at the common stack and determined in accordance with sections 7.1 to 7.5 of the CEMS Protocol.
The following provision is not in force.

Marginal note:Obligation — CEMS Protocol

  • The following provision is not in force.

     (1) A responsible person that uses a CEMS to measure CO2 emissions for the purposes of any of sections 15 to 17 must ensure that the requirements set out in sections 3, 4 and 6 of the CEMS Protocol are met.

  • The following provision is not in force.

    Marginal note:Certification of CEMS

    (2) The CEMS must be certified in accordance with section 5 of the CEMS Protocol before it is used for the purposes of these Regulations.

  • The following provision is not in force.

    Marginal note:CEMS report

    (3) For each calendar year during which a CEMS is used to measure CO2 emissions from a unit, the responsible person must

    • The following provision is not in force.

      (a) obtain a CEMS report, signed by an auditor, that contains the information set out in Schedule 4 in respect of the CEMS; and

    • The following provision is not in force.

      (b) if the emissions report referred to in subsection 39(1) is required for the unit for that calendar year, submit the CEMS report along with the emissions report.

Fuel-based Method

The following provision is not in force.

Marginal note:Quantification

 For the purposes of paragraphs 12(3)(c) and (d), the quantity of CO2 emissions from the combustion of fossil fuel in a unit during a calendar year is determined by the formula

Es plus the sum of Ei for each fossil fuel “i” combusted in the unit during the calendar year.

where

i
is the ith fossil fuel type combusted in the unit during the calendar year, where “i” goes from 1 to n and where n is the number of fossil fuel types combusted;
Ei
is the quantity of CO2 emissions from the combustion of each fossil fuel type “i” in the unit during the calendar year, expressed in tonnes, as determined for that fossil fuel type in accordance with section 20; and
Es
is the quantity of CO2 emissions that is released from the sorbent used to control the emission of sulphur dioxide from the unit during the calendar year, expressed in tonnes and determined by the formula

S × R × (44 ÷ MMs)

where

S
is the quantity of sorbent, such as Ca‍CO3, expressed in tonnes,
R
is the stoichiometric ratio, on a mole fraction basis, of CO2 released on usage of one mole of sorbent, which is equal to 1 if the sorbent is Ca‍CO3, and
MMs
is the molecular mass of the sorbent, which is equal to 100 if the sorbent is Ca‍CO3.
The following provision is not in force.

Marginal note:Measured carbon content

  • The following provision is not in force.

     (1) The quantity assigned to Ei in section 19 is, for each type of fossil fuel combusted in the unit during a calendar year, determined by one of the following formulas, as applicable:

    • The following provision is not in force.

      (a) in the case of a gaseous fuel,

      Vf × CCA × (MMA ÷ MVcf) × 3.664 × 0.001

      where

      Vf
      is the volume of the fossil fuel combusted during the calendar year, determined using flow meters and expressed in m3 at standard conditions,
      CCA
      is the weighted average of the carbon content of the fossil fuel, determined in accordance with subsection (4) and expressed in kg of carbon per kg of the fossil fuel,
      MMA
      is the average molecular mass of the fossil fuel, determined based on fuel samples taken in accordance with section 34 and expressed in kg per kg-mole of the fossil fuel, and
      MVcf
      is the molar volume conversion factor of 23.645 m3 at standard conditions, per kg-mole of the fossil fuel at standard conditions;
    • The following provision is not in force.

      (b) in the case of a liquid fuel,

      Vf × CCA × 3.664

      where

      Vf
      is the volume of the fossil fuel combusted during the calendar year, determined using flow meters and expressed in kL, and
      CCA
      is the weighted average of the carbon content of the fossil fuel, determined in accordance with subsection (4) at the same temperature as that used in the determination of Vf and expressed in tonnes of carbon per kL of the fossil fuel; and
    • The following provision is not in force.

      (c) in the case of a solid fuel,

      Mf × CCA × 3.664

      where

      Mf
      is the mass of the fossil fuel combusted during the calendar year, determined, as the case may be, on a wet or dry basis using a measuring device and expressed in tonnes, and
      CCA
      is the weighted average of the carbon content of the fossil fuel, determined in accordance with subsection (4) on the same wet or dry basis as that used in the determination of Mf and expressed in kg of carbon per kg of the fossil fuel.
  • The following provision is not in force.

    Marginal note:Renewable natural gas

    (2) If a unit that combusts natural gas is supplied by a pipeline network into which renewable natural gas is injected, the volume of natural gas to be used in determining the value for Vf in paragraph (1)(a) is determined by the formula

    Vtotal − VRNG

    where

    Vtotal
    is the total volume of natural gas and renewable natural gas supplied to the unit that is combusted during the calendar year, determined using flow meters and expressed in m3 at standard conditions; and
    VRNG
    is the volume of renewable natural gas that may be claimed by the unit during the calendar year, determined in accordance with subsection (3) and expressed in m3 at standard conditions.
  • The following provision is not in force.

    Marginal note:VRNG — conditions

    (3) For the purposes of determining the value for VRNG in subsection (2), a volume of renewable natural gas may be claimed for a calendar year only if

    • The following provision is not in force.

      (a) a contractual agreement specifies that the volume is supplied to the unit for the calendar year;

    • The following provision is not in force.

      (b) the volume is kept physically separated from any other substance and is clearly identifiable as renewable natural gas from the time it is produced until the time it is injected into a pipeline network to which the unit is connected;

    • The following provision is not in force.

      (c) the responsible person for the unit is able to identify each producer of the renewable natural gas supplied to the unit under the contractual agreement referred to in paragraph (a) and the volume supplied by each producer;

    • The following provision is not in force.

      (d) the volume supplied by each producer does not exceed the volume of renewable natural gas produced by that producer that is injected during the calendar year into a pipeline network to which the unit is connected;

    • The following provision is not in force.

      (e) the volume is not being used to create credits in a jurisdiction outside Canada or to comply with a requirement relating to greenhouse gas emissions that is set by a jurisdiction outside Canada;

    • The following provision is not in force.

      (f) the volume is not being used by an end user, other than the responsible person, to create credits in Canada or to comply with a requirement relating to greenhouse gas emissions set out in a federal or provincial law; and

    • The following provision is not in force.

      (g) the responsible person for the unit submits to the Minister, in the emissions report submitted under section 39 for the calendar year, the information set out in section 8 of Schedule 5 in respect of the volume.

  • The following provision is not in force.

    Marginal note:Weighted average (CCA)

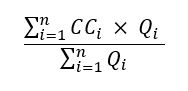
    (4) The weighted average CCA referred to in paragraphs (1)(a) to (c) is determined by the formula

    The quotient of the following two sums: the sum of the product resulting from the multiplication of Qi and CCi for each sampling period “i” and the sum of Qi for each sampling period “i”.

    where

    i
    is the ith sampling period that is set out for the fuel type in subsection 34(2), where “i” goes from 1 to n and where n is the number of sampling periods;
    CCi
    is the carbon content of each sample or composite sample, as the case may be, of the fossil fuel for the ith sampling period — expressed for gaseous fuels, liquid fuels and solid fuels, respectively, in the same unit of measure as that set out in the description of CCA in paragraph (1)(a), (b) or (c), as applicable — as provided by the supplier of the fossil fuel to the responsible person or, if not so provided, as determined in the following manner:
    • (a) in the case of a gaseous fuel,

      • (i) in accordance with one of the following standards, as applicable:

        • (A) ASTM D1945, entitled Standard Test Method for Analysis of Natural Gas by Gas Chromatography,

        • (B) ASTM UOP539, entitled Refinery Gas Analysis by Gas Chromatography,

        • (C) ASTM D7833, entitled Standard Test Method for Determination of Hydrocarbons and Non-Hydrocarbon Gases in Gaseous Mixtures by Gas Chromatography, or

        • (D) API Technical Report 2572, entitled Carbon Content, Sampling, and Calculation, published by the American Petroleum Institute, or

      • (ii) by means of a direct measuring device,

    • (b) in the case of a liquid fuel, in accordance with one of the following standards or methods, as applicable:

      • (i) API Technical Report 2572, entitled Carbon Content, Sampling, and Calculation, published by the American Petroleum Institute,

      • (ii) ASTM D5291, entitled Standard Test Methods for Instrumental Determination of Carbon, Hydrogen, and Nitrogen in Petroleum Products and Lubricants, or

      • (iii) the ASTM standard that applies to the fossil fuel type, or if there is no such ASTM standard, an applicable internationally recognized method, and

    • (c) in the case of a solid fuel, on the same wet or dry basis as that used in the determination of CCA, in accordance with

      • (i) for a solid fuel derived from waste, ASTM E777, entitled Standard Test Method for Carbon and Hydrogen in the Analysis Sample of Refuse-Derived Fuel, and

      • (ii) for any other solid fuel type, in accordance with an ASTM standard for the measurement of the carbon content of the fuel type or, if there is no such ASTM standard, in accordance with an applicable internationally recognized method; and

    Qi
    is the volume or mass, as the case may be, of the fossil fuel combusted during the ith sampling period, determined
    • (a) using flow meters and expressed in m3 at standard conditions, in the case of a gaseous fuel,

    • (b) using flow meters and expressed in kL, in the case of a liquid fuel, and

    • (c) using a measuring device and expressed in tonnes, on the same wet or dry basis as that used in the determination of CCA, in the case of a solid fuel.

Useful Thermal Energy

The following provision is not in force.

Marginal note:Attributed emissions (Eth)

 The quantity of CO2 emissions attributed to the production of useful thermal energy by a unit during a calendar year is determined by the formula

Hpnet × bEI

where

Hpnet
is the net quantity of useful thermal energy, expressed in GJ, determined by the formula
The sum of the products of houti and Mouti for each heat stream “i” minus the sum of the products of hinj and Minj for each heat stream “j”, summed for all time periods.

where

t
is the tth period, where “t” goes from 1 to x and where x is the total number of periods during which the unit produced useful thermal energy during the calendar year,
i
is the ith heat stream exiting the unit, where “i” goes from 1 to n and where n is the total number of heat streams exiting the unit,
houti
is the average specific enthalpy of the ith heat stream exiting the unit during period “t”, expressed in GJ/tonne and determined based on the measurement, using a continuous measuring device, of the temperature and pressure of that heat stream,
Mouti
is the mass flow of the ith heat stream exiting the unit during period “t”, expressed in tonnes and determined using a continuous measuring device,
j
is the jth heat stream, other than condensate return, entering the unit, where “j” goes from 1 to m and where m is the total number of heat streams entering the unit,
hinj
is the average specific enthalpy of the jth heat stream, other than condensate return, entering the unit during period “t”, expressed in GJ/tonne and determined based on the measurement, using a continuous measuring device, of the temperature and pressure of that heat stream, and
Minj
is the mass flow of the jth heat stream, other than condensate return, entering the unit during period “t”, expressed in tonnes and determined using a continuous measuring device; and
bEI
is the emission intensity of a reference boiler, set to 0.0556 tonnes of CO2 emissions per GJ.

Electricity Used at Facility

The following provision is not in force.

Marginal note:Attributed emissions (Eint)

 The quantity of CO2 emissions attributed to electricity generated by a unit that is used internally, during a calendar year, at the facility where the unit is located is determined by the formula

Gint × CEI

where

Gint
is the quantity of electricity generated by the unit that is used internally, during the calendar year, at the facility where the unit is located, expressed in GWh and determined by the formula

(GF − Qns) × (GU ÷ GF)

where

GF
is the sum of the total gross electricity generated by each unit at the facility that is subject to an emission limit under subsection 9(1) during the calendar year, expressed in GWh and measured for each unit at the electrical terminals of the unit’s generators,
Qns
is the net supply from the facility for the calendar year, and
GU
is the total gross electricity generated by the unit during the calendar year, expressed in GWh and measured at the electrical terminals of the unit’s generators; and
CEI
is the emission intensity of a reference unit that produces useful thermal energy, set to 250 tonnes of CO2 emissions per GWh.

Carbon Capture and Storage

The following provision is not in force.

Marginal note:CO2 captured and stored (Eccs)

  • The following provision is not in force.

     (1) The quantity of CO2 from a unit that is captured during a calendar year and stored in a storage project is determined by the formula

    Eu × (Ecap ÷ Ein)

    where

    Eu
    is the value determined for Eu in subsection 12(1) or, if applicable, subsection 27(1);
    Ecap
    is the quantity of CO2 that is the portion of Ein that has been captured and subsequently stored, during the calendar year, in a storage project that meets the conditions set out in subsection (2), expressed in tonnes and determined by means of a direct measuring device that measures the flow and concentration of CO2; and
    Ein
    is the quantity of CO2, expressed in tonnes, entering the carbon capture and storage system during the calendar year, determined, in accordance with sections 7.1 to 7.5 of the CEMS Protocol, using a CEMS that is located upstream of the carbon capture and storage system and that measures all CO2 entering the carbon capture and storage system.
  • The following provision is not in force.

    Marginal note:Conditions

    (2) For the purposes of determining the value for Eccs in subsections 12(1) and 27(1), a quantity of CO2 may only be claimed if it has been permanently stored in a storage project that meets the following conditions:

    • The following provision is not in force.

      (a) the geological site into which the CO2 is injected is

      • (i) a deep saline aquifer into which the CO2 is injected for the sole purpose of storing it, or

      • (ii) a depleted oil reservoir into which the CO2 is injected for the purpose of enhanced oil recovery; and

    • The following provision is not in force.

      (b) the CO2 stored for the purposes of the project is captured, transported and stored in accordance with the laws of Canada or a province or the laws of the United States or one of its states.

Energy carriers

The following provision is not in force.

Marginal note:Emissions — hydrogen, ammonia or steam (Eext)

  • The following provision is not in force.

     (1) The quantity of CO2 emissions from the production of the hydrogen, ammonia or steam used by a unit to generate electricity during a calendar year is determined by the formula

    The sum of the multiplication of Qk by the quotient of Ek and Pk, summed for each stream “k” of hydrogen, ammonia and steam.

    where

    k
    is the kth stream of hydrogen, ammonia or steam, where “k” goes from 1 to n and where n is the number of streams of hydrogen, ammonia or steam that are used by the unit during the calendar year;
    Ek
    is the total annual CO2 emissions, expressed in tonnes, from the total annual production of the kth stream of hydrogen, ammonia or steam used by the unit during the calendar year;
    Pk
    is the total annual production of the kth stream of hydrogen, ammonia or steam during the calendar year, determined using a continuous measuring device and expressed
    • (a) in m3 at standard conditions, in the case of hydrogen and ammonia, and

    • (b) in GJ, in the case of steam; and

    Qk
    is the quantity of hydrogen or ammonia, expressed in m3 at standard conditions, or the quantity of purchased or transferred steam, expressed in GJ, in the kth stream used by the unit to generate electricity during the calendar year, determined using a continuous measuring device.
  • The following provision is not in force.

    Marginal note:Quantification of Ek and Pk

    (2) Subject to subsection (4), the responsible person must obtain the values of Ek and Pk from the supplier of the hydrogen, ammonia or steam, if any, used by the unit, determined in accordance with

    • The following provision is not in force.

      (a) section 10 of the GHGRP, in the case of hydrogen production;

    • The following provision is not in force.

      (b) section 8 of the GHGRP, in the case of ammonia production; and

    • The following provision is not in force.

      (c) section 7 of the GHGRP, in the case of steam production.

  • The following provision is not in force.

    Marginal note:Adaptation of GHGRP

    (3) For the purposes of paragraph (2)(a), the description of RCO2 in Equation 10-2 of the GHGRP is to be read as “CO2 captured and permanently stored in a storage project that meets the conditions set out in subsection 23(2) of the Clean Electricity Regulations”.

  • The following provision is not in force.

    Marginal note:Default values

    (4) If the hydrogen or ammonia used by a unit is not produced at the facility at which the unit is located or the steam used by a unit is purchased or transferred to that facility and the responsible person for the unit is not able to obtain from the supplier the information required under subsection (2), the responsible person must replace the ratio Ek ÷ Pk in subsection (1) with the following values:

    • The following provision is not in force.

      (a) 9.8312 × 10-4 tonnes of CO2/m3, in the case of hydrogen;

    • The following provision is not in force.

      (b) 1.4635 × 10-3 tonnes of CO2/m3, in the case of ammonia; and

    • The following provision is not in force.

      (c) 0.08 tonnes of CO2/GJ, in the case of steam.

Emergency Circumstances

Marginal note:Deduction

  •  (1) The responsible person for a unit may, for the purposes of subsection 12(1), deduct the quantity of CO2 emissions attributed to the unit during a deduction period and may, for the purposes of subsection 13(2), deduct the quantity of electricity generated by the unit during a deduction period if the following conditions are met:

    • (a) the electricity system operator has determined that there is an irresistible emergency event, whether natural or arising from human action, or the Minister has determined that there is a risk to human health and safety;

    • (b) in the case of an irresistible emergency event, the event is outside the control of the electricity system operator and the responsible person;

    • (c) the electricity system operator has determined that the event or risk referred to in paragraph (a) has triggered a disruption or significant risk of disruption to the electricity supply in the province in which the unit is located or in a contiguous province or state;

    • (d) the electricity system operator directs the unit to generate electricity due to the event or risk referred to in paragraph (a) in order to alleviate or materially help alleviate a disruption or significant risk of disruption to the electricity supply in the province in which the unit is located or in a contiguous province or state;

    • (e) the generation of electricity by the unit will alleviate or materially help alleviate a disruption or significant risk of disruption to the electricity supply in the province in which the unit is located or in a contiguous province or state; and

    • (f) within seven days after the day on which the direction to generate electricity referred to in paragraph (d) is received, the responsible person notifies the Minister of that direction.

  • Marginal note:Deduction period

    (2) The period for which the quantities of CO2 emissions and electricity generated may be deducted begins in the hour in which a unit operates in response to the direction to generate electricity referred to in paragraph (1)(d) and ends as follows:

    • (a) if an application for an extension of the deduction period is not submitted to the Minister in accordance with subsection 26(1), the period ends on the earlier of

      • (i) the day that is the 30th day after the day on which the direction to generate electricity was given, and

      • (ii) the hour that is 24 hours after the electricity system operator notifies the responsible person for the unit that the direction to generate electricity no longer applies; or

    • (b) if an application for an extension of the deduction period is submitted to the Minister in accordance with subsection 26(1), the period ends

      • (i) in the case of an application that is not granted, on the earlier of

        • (A) the hour that is 24 hours after the electricity system operator notifies the responsible person for the unit that the direction to generate electricity no longer applies, and

        • (B) the day that is the 45th day after the day on which the direction to generate electricity was given, and

      • (ii) in any other case, on the earlier of

        • (A) the hour that is 24 hours after the electricity system operator notifies the responsible person for the unit that the direction to generate electricity no longer applies, and

        • (B) the hour that is 24 hours after the Minister notifies the responsible person for the unit that the deduction period has ended.

  • Marginal note:Notice to Minister

    (3) The responsible person must, within seven days after the day on which the electricity system operator notifies the responsible person that the direction to generate electricity referred to in paragraph (1)(d) no longer applies, notify the Minister that the direction no longer applies.

Marginal note:Application for extension of deduction period

  •  (1) If the conditions set out in subsection 25(1) will continue to be met for more than 30 days after the day on which the unit receives the direction to generate electricity referred to in paragraph 25(1)(d), the responsible person may, within 30 days after the day on which the direction is received, apply to the Minister for an extension of the deduction period.

  • Marginal note:Contents of application

    (2) The application must include

    • (a) the registration number assigned to the unit by the Minister under subsection 7(3), if any;

    • (b) the date on which and hour at which the deduction period began;

    • (c) a description of the irresistible emergency event or risk to human health and safety that caused the electricity system operator to direct the unit to generate electricity, including

      • (i) the date on which and hour at which the event or risk began and, if applicable, the date on which and hour at which it ended,

      • (ii) the province or state in which the event or risk occurred,

      • (iii) the province or state in which the disruption or significant risk of disruption to the electricity supply occurred, and

      • (iv) information demonstrating that the unit received the direction to generate electricity to alleviate or materially help alleviate a disruption or significant risk of disruption to the electricity supply; and

    • (d) if the direction to generate electricity is due to the electricity system operator determining that there is an irresistible emergency event, information, along with supporting documents, demonstrating that

      • (i) the electricity system operator determined that an irresistible emergency event occurred,

      • (ii) the event was outside the control of the electricity system operator and the responsible person for the unit,

      • (iii) the irresistible emergency event caused the disruption or significant risk of disruption to the electricity supply that the direction to generate electricity is intended to alleviate or materially help alleviate, and

      • (iv) the disruption or significant risk of disruption to the electricity supply arising from the event will continue for more than 30 days after the day on which the deduction period began.

  • Marginal note:Minister’s decision

    (3) If the Minister is satisfied that the conditions set out in subsection 25(1) will continue to be met, the Minister must, within 10 days after the day on which the application is received, grant an extension of the deduction period.

  • Marginal note:Irresistible emergency event

    (4) Before granting an extension of a deduction period based on an irresistible emergency event, the Minister must be satisfied that

    • (a) the event occurred;

    • (b) the event is outside the control of the electricity system operator and the responsible person for the unit;

    • (c) the disruption or significant risk of disruption to the electricity supply arising from the event will continue; and

    • (d) the generation of electricity by the unit will alleviate or materially help alleviate the disruption or significant risk of disruption to the electricity supply in the province in which the unit is located or in a contiguous province or state.

The following provision is not in force.

Marginal note:Emissions during deduction period (Eec)

  • The following provision is not in force.

     (1) The quantity referred to in the description of Eec in subsection 12(1) is determined by the formula

    The sum, for each deduction period “i”, of Eu minus Eth, minus Eint, minus Eccs, plus Eext.

    where

    i
    is the ith deduction period, where “i” goes from 1 to n and where n is the number of deduction periods in the calendar year;
    Eu
    is the quantity of CO2 emissions, expressed in tonnes, from the combustion of fossil fuel in the unit during the ith deduction period during the calendar year, determined in accordance with subsection 12(3);
    Eth
    is the quantity of CO2 emissions, expressed in tonnes, attributed to the production of useful thermal energy by the unit during the ith deduction period during the calendar year, determined in accordance with section 21;
    Eint
    is the quantity of CO2 emissions, expressed in tonnes, attributed to electricity generated by the unit, during the ith deduction period during the calendar year, that is used internally at the facility where the unit is located and is
    • (a) equal to zero, in the case of

      • (i) any deduction period in which the unit did not produce useful thermal energy,

      • (ii) any unit, other than a planned unit, that has a commissioning date after December 31, 2024, and

      • (iii) every deduction period after 2049, and

    • (b) determined in accordance with section 22 in any other case;

    Eccs
    is the quantity of CO2, expressed in tonnes, captured from the unit during the ith deduction period during the calendar year and stored in a storage project, determined in accordance with section 23; and
    Eext
    is the quantity of CO2 emissions, expressed in tonnes, from the production of the hydrogen, ammonia and the purchased or transferred steam used by the unit to generate electricity during the ith deduction period during the calendar year, determined in accordance with section 24.
  • The following provision is not in force.

    Marginal note:Adaptation

    (2) For the purposes of subsection (1), any reference to a calendar year in a calculation required under section 15 or 16 or any of sections 19 to 24 is to be read as a reference to the applicable deduction period.

  • The following provision is not in force.

    Marginal note:Multiple calendar years

    (3) If a deduction period begins in one calendar year and ends in another calendar year, the deduction period for the purposes of subsection (1) is the portion of that deduction period that occurred during the calendar year for which CO2 emissions are being determined.

  • The following provision is not in force.

    Marginal note:Overlapping deduction periods

    (4) A quantity of CO2 emissions must not be included in more than one deduction period for the purposes of subsection (1).

Canadian Offset Credits

The following provision is not in force.

Marginal note:Remittance — December 15

  • The following provision is not in force.

     (1) The quantity of CO2 assigned to Coff in subsection 12(1) corresponds to the number of Canadian offset credits that the responsible person remits to the Minister for the unit on or before the December 15 that follows the calendar year for which the remittance is made.

  • The following provision is not in force.

    Marginal note:Maximum

    (2) The maximum number of Canadian offset credits that may be remitted for a unit for a calendar year corresponds to the quantity of CO2, expressed in tonnes, determined by the formula

    C × Ioff × 8760 × 0.001

    where

    C
    is the unit’s electricity generation capacity for the calendar year; and
    Ioff
    is the emission intensity applicable to the calendar year and is
    • (a) 35 tonnes of CO2 emissions per GWh for the 2035 to 2049 calendar years, and

    • (b) 42 tonnes of CO2 emissions per GWh for the 2050 and subsequent calendar years.

  • The following provision is not in force.

    Marginal note:Rounding

    (3) The quantity determined under subsection (2) is to be rounded to the nearest whole number or, if equidistant between two consecutive whole numbers, to the higher number.

  • The following provision is not in force.

    Marginal note:Condition

    (4) Any Canadian offset credit remitted for a calendar year must have been issued for greenhouse gas reductions or removals that occurred no more than eight calendar years before the calendar year in which the Canadian offset credit is remitted.

  • The following provision is not in force.

    Marginal note:Cross-recognition

    (5) A responsible person may remit the same Canadian offset credit for the purposes of both subsection 12(1) and an eligible system referred to in subsection (6) if, under that eligible system, the Canadian offset credit is remitted

    • The following provision is not in force.

      (a) for the same calendar year as the year for which the Canadian offset credit is remitted under this section;

    • The following provision is not in force.

      (b) in relation to the same unit for which the Canadian offset credit is remitted under this section; and

    • The following provision is not in force.

      (c) in fulfillment of a remittance requirement other than a requirement that relates to an extraordinary situation, such as to replace a cancelled credit or as compensation for non-compliance with a requirement.

  • The following provision is not in force.

    Marginal note:Eligible systems

    (6) The eligible systems are

    • The following provision is not in force.

      (a) a system for pricing greenhouse gas emissions established under Division 1 of Part 2 of the Greenhouse Gas Pollution Pricing Act; and

    • The following provision is not in force.

      (b) a provincial carbon pricing system that is subject to an agreement between the Minister and a province regarding the cross-recognition of Canadian offset credits and that is on the list published on the Department of the Environment’s website for the purposes of this section.

  • The following provision is not in force.

    Marginal note:Timing of remittance

    (7) A Canadian offset credit is considered to be remitted on the day on which a reconciliation report that contains all of the information set out in sections 1 and 2 of Schedule 6 in respect of the Canadian offset credit is submitted to the Minister in accordance with section 41.

The following provision is not in force.

Marginal note:Cancelled Canadian offset credit

  • The following provision is not in force.

     (1) If, within five years after the day on which a responsible person remits to the Minister one or more Canadian offset credits referred to in paragraph (b) of the definition Canadian offset credit in subsection 2(1), the issuing province cancels and does not provide a mechanism to replace the credits, the Minister must notify the responsible person of the number of Canadian offset credits that were cancelled by the province and the number of Canadian offset credits that the responsible person must remit to the Minister.

  • The following provision is not in force.

    Marginal note:Cross-recognition conditions not met

    (2) If the Minister determines that one or more Canadian offset credits referred to in subsection 28(5) were remitted that did not meet the conditions set out in that subsection, the Minister must notify the responsible person of the number of Canadian offset credits remitted that did not meet those conditions and the number of Canadian offset credits that the responsible person must remit to the Minister.

  • The following provision is not in force.

    Marginal note:Request by Minister

    (3) The responsible person must provide to the Minister, within the time limit specified by the Minister, any information requested by the Minister to determine whether a Canadian offset credit meets the conditions set out in subsection 28(5).

  • The following provision is not in force.

    Marginal note:Remittance obligation

    (4) The responsible person must remit the number of Canadian offset credits set out in a notice referred to in subsection (1) or (2) by submitting to the Minister, no later than December 15 of the calendar year that follows the calendar year in which the Minister provides the notice, a reconciliation report that contains the information set out in sections 1 and 4 of Schedule 6 in respect of the credits.

  • The following provision is not in force.

    Marginal note:Eligible Canadian offset credits

    (5) The Canadian offset credits that are remitted under subsection (4) must have been issued for greenhouse gas reductions or removals that occurred no more than eight calendar years before the time limit set out in that subsection.

Compliance Credits

Issuance

The following provision is not in force.

Marginal note:Number of compliance credits issued

  • The following provision is not in force.

     (1) If the Minister is satisfied that, for any of the 2035 to 2049 calendar years, the quantity of CO2 emissions attributed to a unit, as determined in accordance with the formula set out in the description of E in subsection 12(1), is below the emission limit determined for the unit in accordance with subsection 9(1), the Minister must issue to the responsible person for the unit, for that calendar year and for that unit, a number of compliance credits, each with a corresponding value of one tonne of CO2, that is equal to the difference between that quantity and that limit.

  • The following provision is not in force.

    Marginal note:Exceptions

    (2) Despite subsection (1), no compliance credits are issued for a unit for a calendar year if

    • The following provision is not in force.

      (a) the unit is not subject to an emission limit under subsection 9(1) before July 1 of that calendar year; or

    • The following provision is not in force.

      (b) the unit is subject to an exemption, under subsection 14(1), from the application of subsection 9(1) for that calendar year.

  • The following provision is not in force.

    Marginal note:Request by Minister

    (3) The responsible person for a unit must provide to the Minister, within the time limit specified by the Minister, any information requested by the Minister that is necessary to determine whether

    • The following provision is not in force.

      (a) the quantity of CO2 emissions assigned to E in subsection 12(1) that is reported in the emissions report submitted under section 39 for the unit for a calendar year was determined in accordance with that subsection; and

    • The following provision is not in force.

      (b) the emission limit that is reported in the emissions report submitted under section 39 for the unit for a calendar year was determined in accordance with subsection 9(1).

  • The following provision is not in force.

    Marginal note:Notice

    (4) If, after receiving the information requested under subsection (3), the Minister is not satisfied that the quantity of CO2 emissions attributed to a unit, as determined in accordance with the formula set out in the description of E in subsection 12(1), is below the emission limit determined for the unit in accordance with subsection 9(1), the Minister must notify the responsible person that no compliance credits will be issued for the unit for the calendar year.

Marginal note:Transferable compliance credits

  •  (1) Subject to section 32, the compliance credits issued under subsection 30(1) for a unit for a calendar year are transferable if the unit does not combust coal during the calendar year and is

    • (a) a unit that has a commissioning date before January 1, 2025 and that does not produce useful thermal energy during the calendar year;

    • (b) a unit, other than a planned unit, that has a commissioning date after December 31, 2024 but before January 1, 2030; or

    • (c) a planned unit that does not produce useful thermal energy during the calendar year.

  • Marginal note:Non-transferable compliance credits

    (2) Subject to section 32, the compliance credits issued under subsection 30(1) for a unit for a calendar year are non-transferable if the unit is not a unit referred to in subsection (1).

  • Marginal note:Transfer between responsible persons

    (3) A transferable compliance credit may only be transferred between responsible persons for units to which these Regulations apply.

Marginal note:Designation of substitute unit

  •  (1) The responsible person for a unit described in any of paragraphs 31(1)(a) to (c) or a unit that has been designated as a substitute unit under this section may, with the agreement of the responsible person for another unit, designate that other unit as a substitute unit if

    • (a) the electricity generation capacity of the unit being designated as a substitute unit does not exceed the electricity generation capacity of the unit being substituted; and

    • (b) both units report to the same electricity system operator.

  • Marginal note:Required information

    (2) To designate a substitute unit, the responsible person that makes the designation and the responsible person for the unit that will be designated as a substitute unit must each submit the following information to the Minister before January 1 of the calendar year in which the substitution will take effect, along with an attestation, dated and signed by the responsible person or its authorized official, that it agrees to the substitution:

    • (a) the registration number assigned to each unit by the Minister under subsection 7(3);

    • (b) the electricity generation capacity of each unit; and

    • (c) the electricity system operator for each unit.

  • Marginal note:Consequences of substitution

    (3) Beginning with the calendar year in which the designation of a substitute unit takes effect,

    • (a) any compliance credits issued for the substitute unit for that calendar year — and for any subsequent calendar year in which the unit is a substitute unit — are transferable, unless the substitute unit

      • (i) combusts coal during that calendar year,

      • (ii) has a commissioning date before January 1, 2025 and produces useful thermal energy during that calendar year, or

      • (iii) is a planned unit that produces useful thermal energy during that calendar year; and

    • (b) any compliance credits issued for the unit that is not the substitute unit for that calendar year — and for any subsequent calendar year in which that unit is not a substitute unit — are non-transferable.

  • Marginal note:Ceasing to be a substitute unit

    (4) A substitute unit ceases to be a substitute unit on January 1 of the calendar year that follows the year in which the responsible person for that unit designates another substitute unit in accordance with this section.

Remittance

The following provision is not in force.

Marginal note:Remittance — December 15

  • The following provision is not in force.

     (1) The quantity of CO2 assigned to Cc in subsection 12(1) corresponds to the number of compliance credits that the responsible person remits to the Minister for the unit on or before the December 15 that follows the calendar year for which the remittance is made.

  • The following provision is not in force.

    Marginal note:Conditions

    (2) A responsible person may only remit a compliance credit for the purposes of subsection 12(1) if the following conditions are met:

    • The following provision is not in force.

      (a) the remittance is for a calendar year before 2050;

    • The following provision is not in force.

      (b) the compliance credit was issued for a calendar year that is no more than five calendar years before the calendar year in which it is remitted;

    • The following provision is not in force.

      (c) in the case of a non-transferable compliance credit, the credit is remitted for the unit for which it was issued; and

    • The following provision is not in force.

      (d) in the case of a transferable compliance credit, the credit is remitted

      • (i) for a unit that

        • (A) met, during the calendar year for which the remittance is made, the conditions to be issued transferable compliance credits that are set out in subsections 31(1) and 32(3), and

        • (B) reports to the same electricity system operator as the unit for which the transferable compliance credit was issued, or

      • (ii) for the unit for which it was issued.

  • The following provision is not in force.

    Marginal note:Timing of remittance

    (3) A compliance credit is considered to be remitted on the day on which a reconciliation report that contains all of the information set out in sections 1 to 3 of Schedule 6 in respect of the compliance credit is submitted to the Minister in accordance with section 41.

  • The following provision is not in force.

    Marginal note:Retirement

    (4) A compliance credit remitted under these Regulations may only be remitted once and, once remitted to the Minister, is retired and must not be used again.

Sampling and Missing Data

The following provision is not in force.

Marginal note:Sampling

  • The following provision is not in force.

     (1) The value of the variables referred to in the formulas set out in subsection 20(1) and (4) must be determined based on fuel samples taken in accordance with this section.

  • The following provision is not in force.

    Marginal note:Frequency

    (2) Each fuel sample must be taken at a time and location in the fuel-handling system of the facility that provides the following representative samples of the fuel combusted at the applicable minimum frequency:

    • The following provision is not in force.

      (a) for natural gas, during each sampling period consisting of each calendar year that the unit generates electricity or produces useful thermal energy, two samples taken that year, with each of those samples being taken at least four months after any previous sample has been taken, in accordance with one of the following standards:

      • (i) ASTM D4057, entitled Standard Practice for Manual Sampling of Petroleum and Petroleum Products,

      • (ii) ASTM D4177, entitled Standard Practice for Automatic Sampling of Petroleum and Petroleum Products, or

      • (iii) ASTM F307, entitled Standard Practice for Sampling Pressurized Gas for Gas Analysis;

    • The following provision is not in force.

      (b) for refinery gas, during each sampling period consisting of each day that the unit generates electricity or produces useful thermal energy, one sample per day that is taken at least six hours after any previous sample has been taken, in accordance with any of the standards referred to in paragraph (a);

    • The following provision is not in force.

      (c) for a type of liquid fuel or of a gaseous fuel other than refinery gas and natural gas, during each sampling period consisting of each month that the unit generates electricity or produces useful thermal energy, one sample per month that is taken at least two weeks after any previous sample has been taken, in accordance with any of the standards referred to in paragraph (a); and

    • The following provision is not in force.

      (d) for a solid fuel, one composite sample per month that consists of sub-samples, each having the same mass, that are taken

      • (i) from the fuel that is fed for combustion during each week that begins in that month and during which the unit generates electricity or produces useful thermal energy,

      • (ii) after all fuel treatment operations have been carried out but before any mixing of the fuel with other fuels, and

      • (iii) at intervals of at least 72 hours.

  • The following provision is not in force.

    Marginal note:Additional samples

    (3) If the responsible person takes more samples or composite samples, as the case may be, than the number required under subsection (2) and a determination is made on the carbon content of any of those samples or composite samples in the manner set out in the description of CCi in subsection 20(4) for the fuel type, the results of that determination must be included in the determination of CCA under subsection 20(4).

  • The following provision is not in force.

    Marginal note:Carbon content provided by the supplier

    (4) A responsible person may use the carbon content of a fuel provided by the supplier of the fuel rather than taking fuel samples in accordance with this section if the supplier

    • The following provision is not in force.

      (a) determined the carbon content in the manner set out in the description of CCi in subsection 20(4); and

    • The following provision is not in force.

      (b) took the samples during the applicable sampling period and at the applicable minimum sampling frequency set out in subsection (2).

The following provision is not in force.

Marginal note:Missing data

  • The following provision is not in force.

     (1) If, for any reason beyond the responsible person’s control, the data required to determine the value of any variable in any formula in these Regulations is missing for a period of a calendar year, replacement data for that period must be used to determine that value.

  • The following provision is not in force.

    Marginal note:Replacement data — CEMS

    (2) If a CEMS is used to determine the value of a variable in a formula set out in section 16 or 17 or any of sections 7.1 to 7.5 of the CEMS Protocol, but data is missing for a given period, the replacement data must be obtained in accordance with section 3.4.1 of the CEMS Protocol.

  • The following provision is not in force.

    Marginal note:Replacement data — non-CEMS

    (3) If data, other than data referred to in subsection (2), that is required to determine the value of any variable in a formula in these Regulations is missing for a given period, the replacement data is to be the average of the available data for that variable during the equivalent period prior to and, if the data is available, subsequent to that given period. However, if no data is available for that variable for the equivalent period prior to that given period, the replacement data to be used is the value determined for that variable during the equivalent period subsequent to the given period.

  • The following provision is not in force.

    Marginal note:Maximum number of hours

    (4) Replacement data may be used for more than one period during a calendar year but must not be used for more than 672 hours during the calendar year.

Accuracy of Data

The following provision is not in force.

Marginal note:Measuring devices — installation, maintenance and calibration

  • The following provision is not in force.

     (1) A responsible person must install, maintain and calibrate all measuring devices, other than a CEMS, that are used for the purposes of these Regulations in accordance with the manufacturer’s instructions or any applicable generally recognized national or international industry standard.

  • The following provision is not in force.

    Marginal note:Frequency of calibration

    (2) The responsible person must calibrate each measuring device

    • The following provision is not in force.

      (a) at least once in every calendar year and at least five months after a previous calibration; or

    • The following provision is not in force.

      (b) at the minimum frequency recommended by the manufacturer.

  • The following provision is not in force.

    Marginal note:Accuracy of measurements

    (3) The responsible person must use measuring devices that enable measurements to be made with an accuracy of

    • The following provision is not in force.

      (a) ± 3% in the case of any device used to measure a quantity of electricity; and

    • The following provision is not in force.

      (b) ± 5% in the case of any other device.

  • The following provision is not in force.

    Marginal note:Documents incorporated by reference

    (4) However, if a document incorporated by reference into these Regulations requires measurements that are more accurate than what is required by subsection (3), the responsible person must use a measuring device that enables measurements to be made with the degree of accuracy required by that document.

Errors and Omissions

Marginal note:Correcting errors and omissions

 A responsible person must, as soon as feasible, notify the Minister of any error or omission in any information submitted in accordance with these Regulations and must submit to the Minister the corrected information no later than 120 days after the day on which the responsible person becomes aware of the error or omission.

The following provision is not in force.

Marginal note:Corrected emissions report

  • The following provision is not in force.

     (1) A responsible person must submit to the Minister a corrected emissions report for a unit no later than 120 days after the day on which

    • The following provision is not in force.

      (a) the responsible person submits a notice under section 37 that indicates that the responsible person has become aware of an error or omission that resulted in the issuance of an incorrect number of compliance credits for the unit; or

    • The following provision is not in force.

      (b) the Minister notifies the responsible person of an error or omission that resulted in the issuance of an incorrect number of compliance credits for the unit.

  • The following provision is not in force.

    Marginal note:Contents of report

    (2) The corrected emissions report must contain the information set out in Schedule 5 for the same calendar year as the calendar year to which the error or omission relates, along with

    • The following provision is not in force.

      (a) the information that required correction and a description of the corrections made;

    • The following provision is not in force.

      (b) a description of the circumstances that led to the error or omission and an indication of the reasons why the error or omission was not previously detected; and

    • The following provision is not in force.

      (c) a description of the measures that have been and will be implemented to avoid errors or omissions of the same type.

  • The following provision is not in force.

    Marginal note:Remittance obligation

    (3) If, as a result of the error or omission, the number of compliance credits issued for a unit is greater than the number of compliance credits that would have been issued had the correct quantities been used to calculate that number at the time of issuance, the responsible person must remit to the Minister, no later than the December 15 that follows the time limit referred to in subsection (1), a number of compliance credits and, if applicable, Canadian offset credits that is equal to the difference between the number of compliance credits issued and the number that should have been issued.

  • The following provision is not in force.

    Marginal note:Order of precedence

    (4) The credits remitted for a unit for the purposes of subsection (3) must be, in the following order of precedence,

    • The following provision is not in force.

      (a) compliance credits issued for the unit for the same calendar year as the calendar year to which the error or omission relates;

    • The following provision is not in force.

      (b) if an insufficient number of compliance credits referred to in paragraph (a) are held by the responsible person to fulfill the remittance obligation, any other compliance credits that are held in respect of that unit on the day that the notice referred to in paragraph (1)(a) or (b) is provided; or

    • The following provision is not in force.

      (c) if an insufficient number of compliance credits referred to in paragraphs (a) and (b) are held by the responsible person to fulfill the remittance obligation, any combination of transferable compliance credits and Canadian offset credits.

  • The following provision is not in force.

    Marginal note:Conditions

    (5) The responsible person may only remit compliance credits and Canadian offset credits for a unit for the purposes of this section if

    • The following provision is not in force.

      (a) in the case of compliance credits, the credits were issued

      • (i) for a calendar year that is no more than five calendar years before the calendar year in which they are remitted, and

      • (ii) for a unit that reports to the same electricity system operator as the unit for which they are remitted; and

    • The following provision is not in force.

      (b) in the case of Canadian offset credits,

      • (i) the credits were issued for greenhouse gas reductions or removals that occurred no more than eight calendar years before the calendar year in which they are remitted, and

      • (ii) the number remitted does not exceed the number that is equal to the difference between

        • (A) the sum of the maximum number of Canadian offset credits that may be remitted for the unit under section 28 for each calendar year beginning with the calendar year to which the error or omission relates and ending with the calendar year in which the credits are remitted, and

        • (B) the sum of the number of Canadian offset credits that have already been remitted for the unit for each of those calendar years.

  • The following provision is not in force.

    Marginal note:Partial remittance

    (6) Despite subsection (3), if a responsible person does not hold and is unable to obtain a sufficient number of compliance credits or Canadian offset credits that meet the conditions set out in subsections (4) and (5) to fulfill the remittance obligation by the time limit set out in subsection (3), the responsible person must remit the number of credits that it was able to obtain by that time limit and remit to the Minister the outstanding number of compliance credits or Canadian offset credits in the following calendar year — or, if it still does not hold and is unable to obtain a sufficient number of credits in that following calendar year, in a subsequent calendar year — in accordance with subsection (7).

  • The following provision is not in force.

    Marginal note:Remittance in following year

    (7) Credits remitted for a unit after the time limit set out in subsection (3) must be

    • The following provision is not in force.

      (a) compliance credits issued for the unit; or

    • The following provision is not in force.

      (b) if an insufficient number of compliance credits referred to in paragraph (a) are held by the responsible person to fulfill the remittance obligation, any combination of transferable compliance credits or Canadian offset credits that the responsible person is able to obtain in that calendar year that meet the conditions set out in subsection (5).

  • The following provision is not in force.

    Marginal note:Timing of remittance

    (8) Compliance credits and Canadian offset credits remitted under this section are considered to be remitted on the day on which a reconciliation report that contains all of the information set out in sections 1, 3 and 5 of Schedule 6 in respect of the credits is submitted to the Minister in accordance with section 41.

Reports

The following provision is not in force.

Marginal note:Emissions report

  • The following provision is not in force.

     (1) Beginning with the calendar year in which a unit becomes subject to an emission limit under subsection 9(1), the responsible person must submit to the Minister an annual emissions report for the unit that contains the information set out in Schedule 5.

  • The following provision is not in force.

    Marginal note:June 1

    (2) The emissions report must be submitted on or before June 1 of the calendar year that follows the calendar year that is the subject of the report.

The following provision is not in force.

Marginal note:Short emissions report

  • The following provision is not in force.

     (1) A responsible person must submit to the Minister — for each calendar year that the unit is subject to an exemption, under subsection 14(1), from the application of section 39 — a short emissions report for the unit that contains the information set out in sections 1, 2, 4 and 9 of Schedule 5.

  • The following provision is not in force.

    Marginal note:June 1

    (2) The short emissions report must be submitted on or before June 1 of the calendar year that follows the calendar year that is the subject of the report.

The following provision is not in force.

Marginal note:Reconciliation report

  • The following provision is not in force.

     (1) Beginning with the calendar year in which a unit becomes subject to an emission limit under subsection 9(1), the responsible person must submit to the Minister an annual reconciliation report for the unit that contains the information set out in Schedule 6.

  • The following provision is not in force.

    Marginal note:December 15

    (2) The reconciliation report must be submitted on or before December 15 of the calendar year that follows the calendar year that is the subject of the report.

The following provision is not in force.

Marginal note:Short reconciliation report

  • The following provision is not in force.

     (1) If a compliance credit is held in respect of a unit for any portion of a calendar year and a reconciliation report is not required under subsection 41(1) in respect of the unit for that calendar year, the responsible person must submit to the Minister a short reconciliation report for the unit for that calendar year that contains the information set out in sections 1 and 3 of Schedule 6.

  • The following provision is not in force.

    Marginal note:December 15

    (2) The short reconciliation report must be submitted on or before December 15 of the calendar year that follows the calendar year that is the subject of the report.

Marginal note:Permanent cessation

  •  (1) If a unit permanently ceases to generate electricity, the responsible person for the unit must, no later than 60 days after the day on which the unit permanently ceases generating electricity, submit to the Minister a notice of permanent cessation of electricity generation that contains the information set out in Schedule 7.

  • Marginal note:Continuing responsibility

    (2) A responsible person that submits the notice referred to in subsection (1) must

    • (a) submit any report required under any of sections 39 to 42 in respect of the unit for the calendar year in which the unit permanently ceases to generate electricity; and

    • (b) continue to comply with the requirements set out in sections 29, 37, 38 and 44 to 48 in respect of the unit.

Marginal note:Signature and submission — electronic

  •  (1) Any information that is required to be submitted under these Regulations, including any notice provided under subsection 8(5), paragraph 25(1)(f), subsection 25(3), section 37 or subsection 46(3), and any application that is made under these Regulations, must be submitted electronically in the form specified by the Minister and must bear the electronic signature of the responsible person or its authorized official.

  • Marginal note:Provision on paper

    (2) If the Minister has not specified an electronic form or if the responsible person is unable to submit the information electronically in accordance with subsection (1) because of circumstances beyond the responsible person’s control, the information must be submitted on paper, signed by the responsible person or its authorized official, in the form specified by the Minister or, if no form has been specified, in any form.

Records

Marginal note:Contents

  •  (1) A responsible person must make records containing the following documents and information with respect to the unit:

    • (a) any notice, attestation, declaration, application, report or information submitted to the Minister under these Regulations;

    • (b) if the responsible person is required to make a determination or perform a calculation under these Regulations,

      • (i) the determination or calculation required,

      • (ii) the measurements on which the determination or calculation was based,

      • (iii) an indication of the standard or method that was used to determine the value of any variable of a formula required to complete the calculations, as well as any information, including the methodology, that is used to determine that value, and

      • (iv) any supporting documents for the information referred to in subparagraphs (i) to (iii);

    • (c) if a quantity is assigned to Qa in subsection 13(2), the documentation referred to in paragraph 13(4)(c) and information demonstrating that useful thermal energy was supplied to a recipient facility;

    • (d) an indication of the standard or method used to determine the value of CCi in subsection 20(4) for a sample of gaseous fuel, including an indication of whether a direct measuring device was used to determine that value;

    • (e) the manufacturer’s instructions for any measuring device used to determine any value or quantity under these Regulations;

    • (f) information demonstrating that the requirements set out in section 36 have been met;

    • (g) for each calendar year during which the responsible person uses a CEMS,

      • (i) information demonstrating that the requirements set out in the CEMS Protocol for the design, certification, operation and performance evaluation of the CEMS have been met,

      • (ii) documents confirming that the CEMS certification requirement set out in subsection 18(2) has been met, and

      • (iii) a copy of each quality assurance plan developed for the CEMS and information demonstrating that the requirements set out in section 6 of the CEMS Protocol for the quality assurance plan have been met;

    • (h) the results of the analysis of every sample taken for the purposes of subsections 20(1) or (4), as well as the date on which each sample was taken and an indication of the standards that were used to take representative samples of the fuel;

    • (i) if a supplier of hydrogen, ammonia or steam has provided the values of Ek and Pk under subsection 24(2), the information provided by the supplier;

    • (j) if a supplier of fuel has provided the carbon content of that fuel under subsection 34(4), the information provided by the supplier;

    • (k) information demonstrating the manner in which the electricity generation capacity set out in any registration report submitted under section 7 or subsection 8(2) and each emissions report submitted under section 39 was determined; and

    • (l) if replacement data was used under section 35, information demonstrating the reason replacement data was required, along with the replacement data that was used.

  • Marginal note:Time limit

    (2) A record must be made no later than 30 days after the day on which the information and documents to be included in it become available.

Marginal note:Retention of information

  •  (1) A responsible person must keep the records that are required to be made under these Regulations with respect to the unit, along with the supporting documents, for the following periods:

    • (a) in the case of a registration report submitted under subsection 7(1), paragraph 7(2)(a) or subsection 8(2) and any supporting documents related to that registration report, the period that begins on the day on which the registration report is submitted to the Minister and ends on the day that is seven years after the day on which the notice referred to in subsection 43(1) is submitted in respect of the unit; and

    • (b) in any other case, a period of seven years after the later of the day on which the record is made and the day on which the information is submitted to the Minister.

  • Marginal note:Location of records

    (2) The records and supporting documents must be kept at the responsible person’s principal place of business in Canada or at any other place in Canada where they can be inspected. If the records and documents are not kept at the responsible person’s principal place of business, the responsible person must provide the Minister with the civic address of the place where they are kept.

  • Marginal note:Relocation of records

    (3) If the records and supporting documents are moved, the responsible person must notify the Minister of the civic address of the new location within 30 days after the day of the move.

Marginal note:Minister’s request

 A responsible person must provide to the Minister a copy of any record that is required to be kept no later than 30 days after the Minister requests it.

Language of Documents

Marginal note:English or French

 All documents required by these Regulations must be in English or French or be accompanied by a translation in English or French and an affidavit of the translator attesting to the accuracy of the translation.

Consequential Amendments

Regulations Designating Regulatory Provisions for Purposes of Enforcement (Canadian Environmental Protection Act, 1999)

The following provision is not in force.

 [Amendments]

Regulations Limiting Carbon Dioxide Emissions from Natural Gas-fired Generation of Electricity

The following provision is not in force.

 [Amendments]

Repeals

The following provision is not in force.

 [Amendments]

The following provision is not in force.

 [Amendments]

Coming into Force

Marginal note:January 1, 2025

  •  (1) Subject to subsections (2) and (3), these Regulations come into force on January 1, 2025, but if they are registered after that day, they come into force on the day on which they are registered.

  • Marginal note:January 1, 2035

    (2) Sections 9 and 12, subsection 13(1), sections 15 to 24, 27 to 30, 33 to 36, 38 to 42 and 49 to 51 and Schedules 3 to 6 come into force on January 1, 2035.

  • Marginal note:January 1, 2050

    (3) Section 52 comes into force on January 1, 2050.

SCHEDULE 1(Subsection 6(4) and paragraph 3(h) of Schedule 2)Performance Test Verifier Report — Information Required

  • 1 The registration number, if any, assigned to the unit by the Minister under subsection 7(3) of these Regulations.

  • 2 The following information about a unit that has not been assigned a registration number:

    • (a) the unit’s name and, if any, civic address; and

    • (b) the unit’s geographic coordinates (latitude and longitude), expressed in decimal degrees to five decimal places.

  • 3 The name, civic address, telephone number, email address and, if any, fax number of the performance test verifier.

  • 4 Information demonstrating that the performance test verifier meets the requirements set out in subsection 6(3) of these Regulations.

  • 5 The procedures followed by the performance test verifier to assess whether

    • (a) the maximum gross power was measured at the electrical terminals of the unit’s generators; and

    • (b) the performance test was conducted in accordance with subsection 6(2) of these Regulations.

  • 6 A statement by the performance test verifier that affirms that

    • (a) the maximum gross power was measured at the electrical terminals of the unit’s generators; and

    • (b) the performance test was conducted in accordance with subsection 6(2) of these Regulations.

  • 7 The unit’s maximum gross power, expressed in MW, as determined by the performance test.

  • 8 The unit’s most recent maximum continuous rating.

  • 9 The date of the performance test.

SCHEDULE 2(Subsection 7(1), paragraph 7(2)(a) and subsections 7(4) and 8(2))Registration Report — Information Required

  • 1 The following information about the responsible person that is submitting the report:

    • (a) its name and civic address;

    • (b) an indication of whether it is the owner and whether it has the charge, management or control of the unit;

    • (c) the federal Business Number assigned to it by the Canada Revenue Agency, if any;

    • (d) its percentage of ownership interest in the unit, if any;

    • (e) the name, title, civic and postal addresses, telephone number, email address and, if any, fax number of its authorized official; and

    • (f) the name, title, civic and postal addresses, telephone number, email address and, if any, fax number of a contact person, if different from the authorized official.

  • 2 The following information about the facility where the unit is located:

    • (a) its name and, if any, civic address;

    • (b) its geographic coordinates (latitude and longitude), expressed in decimal degrees to five decimal places;

    • (c) the name of each owner or person that has the charge, management or control of the facility and the federal Business Number, if any, assigned to each of those persons by the Canada Revenue Agency; and

    • (d) in respect of a facility that transmits electricity to an electricity system and supplies useful thermal energy to a recipient facility,

      • (i) the name and, if any, civic address of the recipient facility,

      • (ii) the geographic coordinates (latitude and longitude) of the recipient facility, expressed in decimal degrees to five decimal places, and

      • (iii) the name of each owner or person that has the charge, management or control of the recipient facility and the federal Business Number, if any, assigned to each of those persons by the Canada Revenue Agency.

  • 3 The following information and documents about the unit:

    • (a) for each responsible person for the unit, other than the responsible person referred to in section 1, if any,

      • (i) its name and, if any, civic address,

      • (ii) an indication of whether it is an owner and whether it has the charge, management or control of the unit,

      • (iii) its percentage of ownership interest in the unit, if any, and

      • (iv) the federal Business Number assigned to it by the Canada Revenue Agency, if any;

    • (b) the unit’s name and, if any, civic address;

    • (c) the unit’s geographic coordinates (latitude and longitude), expressed in decimal degrees to five decimal places;

    • (d) if applicable, any National Pollutant Release Inventory identification number assigned by the Minister to the unit or the facility where it is located for the purposes of section 48 of the Canadian Environmental Protection Act, 1999;

    • (e) if applicable, any identifiers assigned by the Minister to the unit or the facility where it is located for the purposes of the Greenhouse Gas Reporting Program;

    • (f) the electricity system operator;

    • (g) the unit’s electricity generation capacity;

    • (h) if the electricity generation capacity was determined under paragraph 6(1)(a) of these Regulations, the unit’s maximum gross power and the performance test report prepared by the performance test verifier that contains the information set out in Schedule 1;

    • (i) the unit’s most recent maximum continuous rating and the date on which it was reported to the electricity system operator;

    • (j) the year in which subsection 9(1) and section 12 of these Regulations begin to apply in respect of the unit;

    • (k) if the responsible person has made an election under section 11 of these Regulations with respect to the unit, the date on which the information referred to in subsection 11(2) of these Regulations was submitted and the date elected as the unit’s end of prescribed life;

    • (l) the unit’s commissioning date;

    • (m) the name of each boiler and combustion engine in the unit and the date on which each boiler and combustion engine started operating;

    • (n) an indication of whether the unit combusted coal during the previous calendar year;

    • (o) an indication of whether the maximum continuous rating for the unit has increased by 15% or more from the maximum continuous rating reported for the unit in the registration report that was submitted in respect of the unit under subsection 7(1), paragraph 7(2)(a) or subsection 8(2) of these Regulations;

    • (p) an indication of whether the unit is a boiler unit referred to in subsection 3(4) of the Regulations Limiting Carbon Dioxide Emissions from Natural Gas-fired Generation of Electricity that has an end of prescribed life after December 31, 2034, and, if so, the year of its end of prescribed life;

    • (q) an indication of whether the unit produces useful thermal energy;

    • (r) the registration number, if any, assigned to the unit by the Minister under subsection 4(2) of the Reduction of Carbon Dioxide Emissions from Coal-fired Generation of Electricity Regulations;

    • (s) the registration number, if any, assigned to the unit by the Minister under subsection 21(4) of the Regulations Limiting Carbon Dioxide Emissions from Natural Gas-fired Generation of Electricity;

    • (t) if the unit is a subunit referred to in section 8 of these Regulations,

      • (i) the registration number, assigned by the Minister under subsection 7(3) of these Regulations, of each other subunit that was registered as one of the multiple subunits referred to in subsection 8(1) of these Regulations,

      • (ii) an indication of whether all of the conditions set out in subsection 8(1) of these Regulations are met,

      • (iii) the sum of the maximum continuous rating of the subunit and each other subunit that was registered as one of the multiple subunits referred to in subsection 8(1) of these Regulations, and

      • (iv) an indication of whether the sum of the maximum continuous rating for each of the subunits has increased by 15% or more from the sum of the maximum continuous ratings reported in the registration reports submitted for the subunits under subsection 8(2) of these Regulations;

    • (u) a process diagram of the facility where the unit is located that clearly identifies the assembly of equipment that constitutes the unit as well as

      • (i) major equipment, including boilers, combustion engines, duct burners and other combustion devices, heat recovery systems, steam turbines, generators, emission control devices, carbon capture and storage system equipment and continuous emission monitoring systems,

      • (ii) the manner in which the equipment referred to in subparagraph (i) is physically connected and operates together,

      • (iii) the boundaries used to identify each unit,

      • (iv) if applicable, the boundaries used to identify the unit that was registered as multiple subunits in accordance with subsection 8(1) of these Regulations,

      • (v) the electric flows that cross the boundary of a unit and those that cross the boundary of the facility,

      • (vi) the location of any electricity-measuring device,

      • (vii) if applicable, the heat streams that cross the boundary of a unit and those that cross the boundary of the facility,

      • (viii) if a carbon capture and storage system is shared between multiple units or other sources, information that identifies those units and sources, and

      • (ix) if applicable, any major equipment that is physically connected with another facility and the name of that facility;

    • (v) if the unit includes major equipment that is physically connected with another facility, the name of that facility and the name of the owner or person that has the charge, management or control of that facility;

    • (w) an indication of whether the unit is deemed, under subsection 5(2) of these Regulations, to meet the criterion set out in paragraph 5(1)(a) of these Regulations and, if so, the names and registration numbers, assigned by the Minister under subsection 7(3) of these Regulations, of the units for which the sum of the electricity generation capacity is at least 25 MW;

    • (x) if the unit contains a combustion engine, boiler or steam turbine that was contained in another unit previously registered under these Regulations,

      • (i) the registration number assigned to the previously registered unit by the Minister under subsection 7(3) of these Regulations,

      • (ii) in the case of a combustion engine or steam turbine, the electricity generation capacity associated with the combustion engine or steam turbine, and

      • (iii) the date on which the combustion engine, boiler or steam turbine started operating in the unit that is the subject of the report;

    • (y) if the unit is a planned unit, information demonstrating that the unit is a planned unit and an explanation, along with supporting documents, of how each of the criteria set out in section 3 of these Regulations was met in relation to the unit, including the following:

      • (i) if the unit’s commissioning date is after December 31, 2025, a description of the plans for the unit as they existed on December 31, 2025,

      • (ii) if no impact assessment or environmental assessment was required in relation to the unit, a declaration to that effect and an explanation of why it was not required,

      • (iii) if an impact assessment or environmental assessment was required, an explanation of how the information submitted to the relevant authority on or before December 31, 2025 was all of the information required to initiate the relevant assessment and the date on which the information was submitted,

      • (iv) information respecting the ownership or control, on or before December 31, 2025, of the land on which the unit is located,

      • (v) information respecting any permit required to begin construction of the unit,

      • (vi) an explanation of how the information submitted on or before December 31, 2025 in relation to any permit required to begin construction at the site where the unit is located was all the information required to obtain that permit and the date on which the information was submitted,

      • (vii) the value of the contracts referred to in subparagraph 3(a)(iv) of these Regulations and the date on which those contracts were entered into,

      • (viii) details of the value of the equipment that is the subject of the contracts and an explanation of how that equipment is used in the unit,

      • (ix) information respecting the construction of the unit, including the date on which construction began at the site where the unit is located, and

      • (x) an explanation of how the unit is substantially the same on its commissioning date as the unit in relation to which the criteria set out in section 3 of these Regulations were met, including an indication of the electricity generation capacity that was planned for the unit on the date on which the unit met the criteria set out in that section; and

    • (z) if the unit has been modified in a way that resulted in the creation of one or more units for which a registration report is required under paragraph 7(2)(a) of these Regulations, the registration number assigned to each of those units by the Minister under subsection 7(3) of these Regulations.

  • 4 If the report is submitted in accordance with subsection 7(4) of these Regulations, the following information:

    • (a) an indication of the provisions of this Schedule to which the updated information relates;

    • (b) a description of the updated information; and

    • (c) the effective date of the change.

The following schedule is not in force.

SCHEDULE 3(Subsection 16(1) and section 17)

List of Fuels and Default Higher Heating Value

Column 1Column 2Column 3
ItemFuel typeDefault higher heating valueUnits
1Distillate fuel oil No. 138.78GJ/kL
2Distillate fuel oil No. 238.50GJ/kL
3Distillate fuel oil No. 440.73GJ/kL
4Kerosene37.68GJ/kL
5Liquefied petroleum gases (LPG)25.66GJ/kL
6PropaneFootnote for List of Fuels and Default Higher Heating Value125.31GJ/kL
7Propylene25.39GJ/kL
8Ethane17.22GJ/kL
9Ethylene27.90GJ/kL
10Isobutane27.06GJ/kL
11Isobutylene28.73GJ/kL
12Butane28.44GJ/kL
13Butylene28.73GJ/kL
14Natural gasoline30.69GJ/kL
15Motor gasoline34.87GJ/kL
16Aviation gasoline33.52GJ/kL
17Kerosene-type aviation37.66GJ/kL
18Pipeline quality natural gas0.03793GJ/m3 at standard conditions
19Bituminous Canadian coal — Western25.6GJ/tonne
20Bituminous Canadian coal — Eastern27.9GJ/tonne
21Bituminous non-Canadian coal — U.S.25.7GJ/tonne
22Bituminous non-Canadian coal — other countries29.9GJ/tonne
23Sub-bituminous Canadian coal — Western19.2GJ/tonne
24Sub-bituminous non-Canadian coal — U.S.19.2GJ/tonne
25Coal — lignite15.0GJ/tonne
26Coal — anthracite27.7GJ/tonne
27Coal coke and metallurgical coke28.8GJ/tonne
28Petroleum coke from refineries46.4GJ/tonne
29Petroleum coke from upgraders40.6GJ/tonne
30Municipal solid waste11.5GJ/tonne
31Tires31.2GJ/tonne
32Diesel38.3GJ/kL
33Light fuel oil38.8GJ/kL
34Heavy fuel oil42.5GJ/kL
35Ethanol21GJ/kL
36Hydrogen0.012289GJ/m3 at standard conditions
  • Return to footnote 1The default higher heating value for propane is only for pure gas propane. The product commercially sold as propane is to be considered LPG for the purpose of these Regulations.

The following schedule is not in force.

SCHEDULE 4(Paragraph 18(3)(a))CEMS Report — Information Required

  • The following provision is not in force.

    1 The registration number assigned to the unit by the Minister under subsection 7(3) of these Regulations.

  • The following provision is not in force.

    2 The name, civic address and telephone number of the responsible person.

  • The following provision is not in force.

    3 The auditor’s name, qualifications, civic address, telephone number, email address and, if any, fax number.

  • The following provision is not in force.

    4 The procedures followed by the auditor to assess whether

    • The following provision is not in force.

      (a) the responsible person’s use of the CEMS complied with the quality assurance plan referred to in section 6.1 of the CEMS Protocol; and

    • The following provision is not in force.

      (b) the responsible person complied with the CEMS Protocol and the CEMS met the specifications set out in the CEMS Protocol, in particular those set out in sections 3 and 4 of the CEMS Protocol.

  • The following provision is not in force.

    5 A statement of the auditor’s opinion as to whether

    • The following provision is not in force.

      (a) the responsible person’s use of the CEMS complied with the quality assurance plan referred to in section 6.1 of the CEMS Protocol;

    • The following provision is not in force.

      (b) the responsible person complied with the CEMS Protocol and the CEMS met the specifications set out in the CEMS Protocol, in particular those set out in sections 3 and 4 of the CEMS Protocol; and

    • The following provision is not in force.

      (c) the responsible person complied with subsection 18(2) of these Regulations.

  • The following provision is not in force.

    6 A statement of the auditor’s opinion as to whether the responsible person has ensured that the quality assurance plan has been updated in accordance with sections 6.1 and 6.5.2 of the CEMS Protocol.

The following schedule is not in force.

SCHEDULE 5(Paragraph 20(3)(g) and subsections 38(2), 39(1) and 40(1))Emissions Report — Information Required

  • The following provision is not in force.

    1 The registration number assigned to the unit by the Minister under subsection 7(3) of these Regulations.

  • The following provision is not in force.

    2 The following information about the unit:

    • The following provision is not in force.

      (a) an indication of whether the unit is subject to an exemption, under subsection 14(1) of these Regulations, from the application of subsection 9(1) of these Regulations for the calendar year that is the subject of the report;

    • The following provision is not in force.

      (b) an indication of whether a declaration of net supply has been submitted in accordance with subsections 14(2) to (4) of these Regulations with respect to the facility where the unit is located;

    • The following provision is not in force.

      (c) an indication of whether the unit generated electricity during a deduction period during the calendar year that is the subject of the report;

    • The following provision is not in force.

      (d) an indication of whether the unit was designated as a substitute unit under section 32 of these Regulations for the calendar year that is the subject of the report and, if so, the following information:

      • (i) with respect to the unit for which it is being substituted,

        • (A) the registration number assigned to that unit by the Minister under subsection 7(3) of these Regulations,

        • (B) electricity generation capacity of that unit,

        • (C) the electricity system operator for that unit, and

        • (D) an attestation, dated and signed by the responsible person for that unit or its authorized official, that the responsible person agrees to the substitution,

      • (ii) an explanation of how the conditions set out in subsection 32(1) of these Regulations were met,

      • (iii) the information referred to in subsection 32(2) of these Regulations, and

      • (iv) the date on which the unit became a substitute unit and, if applicable, the date it ceased to be one.

  • The following provision is not in force.

    3 The unit’s emission limit for the calendar year that is the subject of the report, determined in accordance with section 9 of these Regulations.

  • The following provision is not in force.

    4 The net supply, for the calendar year that is the subject of the report, from the facility where the unit is located and the values determined for Qt, Qr, Qa, Qna and Qec in subsection 13(2) of these Regulations, expressed in GWh, that were used to calculate that net supply.

  • The following provision is not in force.

    5 The following information about the quantity of CO2 emissions attributed to the unit for the calendar year that is the subject of the report:

    • The following provision is not in force.

      (a) the value determined for E in accordance with subsection 12(1) of these Regulations, expressed in tonnes;

    • The following provision is not in force.

      (b) with respect to the quantity of CO2 emissions from the combustion of fossil fuel in the unit (Eu),

      • (i) if the quantity is determined in accordance with section 15 of these Regulations, that quantity, expressed in tonnes, and, if section 17 of these Regulations applies to the unit, the values determined for Qu,j, HHVu,j, Qi,j, HHVi,j and E in that section, expressed in the applicable units of measurement, used to determine the quantity of CO2 emissions attributed to the unit,

      • (ii) if the quantity is determined in accordance with section 16 of these Regulations, that quantity, expressed in tonnes, as well as

        • (A) the values determined for Ecomb, Vff, Qi, Fc,i, HHVi, VT and ES in subsection 16(1) of these Regulations, expressed in the applicable units of measurement, and

        • (B) if section 17 of these Regulations applies to the unit, the values determined for Qu,j, HHVu,j, Qi,j, HHVi,j and E in that section, expressed in the applicable units of measurement, used to determine the quantity of CO2 emissions attributed to the unit,

      • (iii) if the quantity is determined in accordance with section 19 of these Regulations, that quantity, expressed in tonnes, as well as

        • (A) the values determined for Ei and Es in that section, expressed in tonnes,

        • (B) the values determined for Vf, CCA, MMA, MVcf, Mf, CCi and Qi in subsections 20(1) and (4) of these Regulations, expressed in the applicable units of measurement,

        • (C) the values determined for Vtotal and VRNG in subsection 20(2) of these Regulations, expressed in m3 at standard conditions, and

        • (D) with respect to the data used to determine the value of CCA in subsection 20(4) of these Regulations, an indication of the standard or method, including use of a direct measuring device, used to measure the carbon content of fuel samples or composite samples, as the case may be, or if the carbon content of a fuel was provided by the supplier of the fuel, an indication of the methods used to measure the carbon content of the fuel samples or composite samples, as the case may be;

    • The following provision is not in force.

      (c) if applicable, the following information about the quantity of CO2 emissions attributed to the production of useful thermal energy by the unit (Eth):

      • (i) the quantity determined in accordance with section 21 of these Regulations, expressed in tonnes, and

      • (ii) the values determined for Hpnet, houti, Mouti, hinj and Minj in section 21 of these Regulations, expressed in the applicable units of measurement;

    • The following provision is not in force.

      (d) if applicable, the following information about the quantity of CO2 emissions attributed to electricity generated by the unit that is used internally at the facility (Eint):

      • (i) the quantity determined in accordance with section 22 of these Regulations, expressed in tonnes, and

      • (ii) the values determined for Gint, GF and GU in section 22 of these Regulations, expressed in GWh;

    • The following provision is not in force.

      (e) if applicable, the following information about the quantity of CO2 that is captured from the unit and stored in a storage project (Eccs):

      • (i) the quantity determined in accordance with subsection 23(1) of these Regulations, expressed in tonnes,

      • (ii) the values determined for Ecap and Ein in subsection 23(1) of these Regulations, expressed in tonnes, and

      • (iii) information demonstrating that the CO2 was captured, transported and permanently stored in accordance with subsection 23(2) of these Regulations;

    • The following provision is not in force.

      (f) if applicable, the following information about the quantity of CO2 emissions from the production of the hydrogen, ammonia or steam used by the unit to generate electricity (Eext):

      • (i) the quantity determined in accordance with section 24 of these Regulations, expressed in tonnes, and

      • (ii) the values determined for Ek, Pk and Qk in section 24 of these Regulations, expressed in tonnes, m3 or GJ, as applicable; and

    • The following provision is not in force.

      (g) if applicable, the following information about the quantity of CO2 emissions attributed to the unit for each deduction period (Eec):

      • (i) the quantity determined in accordance with section 27 of these Regulations, expressed in tonnes, and

      • (ii) the values determined for Eu, Eth, Eint, Eccs and Eext in subsection 27(1) of these Regulations, expressed in tonnes.

  • The following provision is not in force.

    6 If biomass was combusted in the unit during the calendar year that is the subject of the report,

    • The following provision is not in force.

      (a) an explanation of how the combusted material is biomass as defined in subsection 2(1) of these Regulations; and

    • The following provision is not in force.

      (b) the quantity of biomass combusted, expressed in m3, kL or tonnes, as applicable, during that year.

  • The following provision is not in force.

    7 If a CEMS was used to measure CO2 emissions from the unit during the calendar year that is the subject of the report, a copy of the CEMS report referred to in subsection 18(3) of these Regulations.

  • The following provision is not in force.

    8 If, in order to determine the value of Vf in paragraph 20(1)(a) of these Regulations, a volume was claimed for VRNG in subsection 20(2) of these Regulations, the following information in relation to each producer of renewable natural gas supplied to the unit during the calendar year that is the subject of the report:

    • The following provision is not in force.

      (a) the name of each person from which the natural gas containing renewable natural gas that was produced by the producer was purchased;

    • The following provision is not in force.

      (b) the producer’s name, civic address, telephone number and email address;

    • The following provision is not in force.

      (c) the name, civic address and geographic coordinates (latitude and longitude), expressed in decimal degrees to five decimal places, of the facility where the renewable natural gas was produced;

    • The following provision is not in force.

      (d) information demonstrating that the renewable natural gas was kept physically separated from any other substance and was clearly identifiable as renewable natural gas from the time it was produced until the time it was injected into a North American pipeline network;

    • The following provision is not in force.

      (e) a map that indicates

      • (i) the location where the producer injected the renewable natural gas into a North American pipeline network or, if the producer is not directly injecting the renewable natural gas into a North American pipeline network, a description of the location where the renewable natural gas is no longer kept physically separated and is no longer clearly identifiable as originating from the producer and the location where the renewable natural gas is injected into a North American pipeline network,

      • (ii) the location of the unit, and

      • (iii) the pipeline network into which the renewable natural gas was injected and from which it was supplied to the unit;

    • The following provision is not in force.

      (f) the volume of renewable natural gas produced by the producer that was injected into a North American pipeline network during the calendar year; and

    • The following provision is not in force.

      (g) information demonstrating that the conditions referred to in paragraphs 20(3)(e) and (f) of these Regulations are met.

  • The following provision is not in force.

    9 The following information about each deduction period during the calendar year that is the subject of the report:

    • The following provision is not in force.

      (a) a description of the irresistible emergency event or risk to human health and safety referred to in paragraph 25(1)(a) of these Regulations, including

      • (i) an indication of whether the electricity system operator determined that there was an irresistible emergency event or whether the Minister determined that there was a risk to human health and safety,

      • (ii) the date on which and hour at which the event or risk began and, if applicable, the date on which and hour at which it ended,

      • (iii) a description of how the event or risk led to a disruption or significant risk of disruption to the electricity supply in the province in which the unit is located or in a contiguous province or state,

      • (iv) in the case of an irresistible emergency event,

        • (A) an indication of whether the event was natural and, if so, details of the event,

        • (B) an indication of whether the event arose from human action and, if so, the identity of the person whose actions resulted in the event and an explanation of how the event was outside the control of both the electricity system operator and the responsible person for the unit, and

        • (C) an indication of whether the event led to a disruption or a significant risk of disruption to the electricity supply and an explanation of the disruption or risk,

      • (v) the province or state in which the event or risk occurred, and

      • (vi) the province or state in which the disruption or significant risk of disruption to the electricity supply occurred;

    • The following provision is not in force.

      (b) the date on which and hour at which the deduction period began and ended or, if the deduction period has not ended, an indication to that effect;

    • The following provision is not in force.

      (c) information demonstrating that the unit was directed by the electricity system operator to generate electricity due to an event or risk referred to in paragraph 25(1)(a) of these Regulations;

    • The following provision is not in force.

      (d) the date on which the Minister was notified that a direction referred to in paragraph 25(1)(d) of these Regulations was given; and

    • The following provision is not in force.

      (e) if an application for an extension of the deduction period was submitted to the Minister under section 26 of these Regulations,

      • (i) the date on which the application was submitted to the Minister,

      • (ii) an indication of whether the extension was granted, and

      • (iii) if the extension was granted and the deduction period has ended, an indication of the reason that the deduction period ended.

  • The following provision is not in force.

    10 The following information for the calendar year that is the subject of the report:

    • The following provision is not in force.

      (a) the difference between the emission limit for the unit determined in accordance with subsection 9(1) of these Regulations and the value determined for E in accordance with subsection 12(1) of these Regulations;

    • The following provision is not in force.

      (b) an indication of whether the unit became subject to an emission limit under subsection 9(1) of these Regulations on or after July 1 of that calendar year; and

    • The following provision is not in force.

      (c) an indication of whether the unit meets the conditions for the issuance of transferable compliance credits set out in subsection 31(1) and 32(3) of these Regulations and, if so, an explanation of how the conditions are met.

  • The following provision is not in force.

    11 If replacement data referred to in section 35 of these Regulations was used during the calendar year that is the subject of the report, the total number of hours for which replacement data was used during the calendar year and the following information about the replacement data that was used for each given period during the calendar year:

    • The following provision is not in force.

      (a) the reason why the data required to determine the value of a variable in a formula referred to in these Regulations was missing for a period of the calendar year and an explanation of how that reason was beyond the responsible person’s control;

    • The following provision is not in force.

      (b) the variable for which data was missing and the date on which and hour at which the period during which replacement data was used began and ended; and

    • The following provision is not in force.

      (c) the value determined for the variable referred to in paragraph (b), along with details of that determination, including

      • (i) the replacement data used to make that determination,

      • (ii) the method used to obtain that replacement data, and

      • (iii) in the case of a determination referred to in subsection 35(3) of these Regulations, an explanation of why a particular equivalent period was used as the basis for determining the value of the variable.

The following schedule is not in force.

SCHEDULE 6(Subsections 28(7), 29(4), 33(3), 38(8), 41(1) and 42(1))Reconciliation Report — Information Required

  • The following provision is not in force.

    1 The registration number assigned to the unit by the Minister under subsection 7(3) of these Regulations.

  • The following provision is not in force.

    2 The following information for the calendar year that is the subject of the report:

    • The following provision is not in force.

      (a) the values determined for E, Coff and Cc in accordance with subsection 12(1) of these Regulations, expressed in tonnes;

    • The following provision is not in force.

      (b) for each collection of compliance credits that have the same characteristics and that are being remitted for the purposes of subsection 12(1) of these Regulations,

      • (i) the total number of tonnes of CO2 that the credits represent,

      • (ii) the calendar year for which the credits were issued,

      • (iii) an indication of whether the credits are non-transferable or transferable,

      • (iv) the registration number, assigned by the Minister under subsection 7(3) of these Regulations, of the unit for which the credits were issued, if it is a unit other than the unit that is the subject of the report, and

      • (v) an indication that the credits meet the conditions for remittance set out in subsection 33(2) of these Regulations;

    • The following provision is not in force.

      (c) the maximum number of Canadian offset credits that may be remitted, determined in accordance with section 28 of these Regulations;

    • The following provision is not in force.

      (d) for each collection of Canadian offset credits issued under subsection 29(1) of the Canadian Greenhouse Gas Offset Credit System Regulations that have the same characteristics and sequential serial numbers and that are being remitted for the purposes of subsection 12(1) of these Regulations,

      • (i) the total number of tonnes of CO2 that the credits represent,

      • (ii) the first and last serial number of the credits,

      • (iii) the year in which the greenhouse gas reduction or removal for which the credits were issued occurred,

      • (iv) the date on which the credits were issued, and

      • (v) an indication of whether the credits are being remitted in accordance with subsection 28(5) of these Regulations and, if so, an indication that the conditions set out in that subsection are met; and

    • The following provision is not in force.

      (e) for each collection of Canadian offset credits recognized under subsection 78(1) of the Output-Based Pricing System Regulations that have the same characteristics and sequential serial numbers and that are being remitted for the purposes of subsection 12(1) of these Regulations,

      • (i) the total number of tonnes of CO2 the credits represent,

      • (ii) the province or program authority referred to in subsection 78(1) of those Regulations that issued the credits,

      • (iii) the date of retirement of the credits or the date on which the credits were designated by the province or program authority for the purposes of remittance under these Regulations,

      • (iv) the first and last serial number of the credits,

      • (v) the start date of the project for which the credits were issued,

      • (vi) the year in which the greenhouse gas reduction or removal for which the credits were issued occurred,

      • (vii) the offset protocol applicable to the project for which the credits were issued, including the version number and publication date,

      • (viii) the name of the verification body that verified the credits, and

      • (ix) an indication of whether the credits are being remitted in accordance with subsection 28(5) of these Regulations and, if so, an indication that the conditions set out in that subsection are met.

  • The following provision is not in force.

    3 The following information about compliance credits:

    • The following provision is not in force.

      (a) for compliance credits issued for the unit,

      • (i) the number of non-transferable compliance credits issued for each calendar year,

      • (ii) the number of non-transferable compliance credits that have been remitted under these Regulations and the calendar year for which they were remitted,

      • (iii) the number of non-transferable compliance credits that have not been remitted,

      • (iv) the number of transferable compliance credits issued for each calendar year,

      • (v) the number of transferable compliance credits that have been remitted for the unit under these Regulations and the calendar year for which they were remitted, and

      • (vi) the number of transferable compliance credits that have not been remitted for the unit and have not been transferred to another unit;

    • The following provision is not in force.

      (b) for each collection of transferable compliance credits that have the same characteristics and that have been transferred to the unit,

      • (i) the calendar year for which the credits were issued,

      • (ii) the total number of tonnes of CO2 that the credits represent,

      • (iii) the registration number, assigned by the Minister under subsection 7(3) of these Regulations, of the unit from which the credits were transferred,

      • (iv) a document, dated and signed by the responsible person for the unit from which the credits were transferred, or its authorized official, and the responsible person for the unit to which the credits were transferred, or its authorized official, confirming that both responsible persons agree to the transfer,

      • (v) the registration number, assigned by the Minister under subsection 7(3) of these Regulations, of the unit for which the credits were issued and the electricity system operator for that unit, and

      • (vi) the calendar year for which the credits were remitted or an indication that they have not been remitted; and

    • The following provision is not in force.

      (c) for each collection of transferable compliance credits that have the same characteristics and that have been transferred from the unit,

      • (i) the calendar year for which the credits were issued,

      • (ii) the total number of tonnes of CO2 that the credits represent,

      • (iii) the registration number, assigned by the Minister under subsection 7(3) of these Regulations, of the unit to which the credits were transferred,

      • (iv) a document, dated and signed by the responsible person for the unit from which the credits were transferred, or its authorized official, and the responsible person for the unit to which the credits were transferred, or its authorized official, confirming that both responsible persons agree to the transfer, and

      • (v) the registration number, assigned by the Minister under subsection 7(3) of these Regulations, of the unit for which the credits were issued and the electricity system operator for that unit.

  • The following provision is not in force.

    4 The following information about Canadian offset credits that are being remitted for the purposes of subsection 29(4) of these Regulations:

    • The following provision is not in force.

      (a) for each collection of Canadian offset credits issued under subsection 29(1) of the Canadian Greenhouse Gas Offset Credit System Regulations that have the same characteristics and sequential serial numbers,

      • (i) the total number of tonnes of CO2 that the credits represent,

      • (ii) the first and last serial number of the credits,

      • (iii) the year in which the greenhouse gas reduction or removal for which the credits were issued occurred, and

      • (iv) the date on which the credits were issued; and

    • The following provision is not in force.

      (b) for each collection of Canadian offset credits recognized under subsection 78(1) of the Output-Based Pricing System Regulations that have the same characteristics and sequential serial numbers,

      • (i) the total number of tonnes of CO2 that the credits represent,

      • (ii) the province or program authority referred to in subsection 78(1) of those Regulations that issued the credits,

      • (iii) the date of retirement of the credits or the date on which the credits were designated by the province or program authority for the purposes of remittance under these Regulations,

      • (iv) the first and last serial number of the credits,

      • (v) the start date of the project for which the credits were issued,

      • (vi) the year in which the greenhouse gas reduction or removal for which the credits were issued occurred,

      • (vii) the offset protocol applicable to the project for which the credits were issued, including the version number and publication date, and

      • (viii) the name of the verification body that verified the credits.

  • The following provision is not in force.

    5 The following information about compliance credits or Canadian offset credits that are being remitted for the purposes of section 38 of these Regulations:

    • The following provision is not in force.

      (a) for each collection of compliance credits that have the same characteristics,

      • (i) the total number of tonnes of CO2 that the credits represent,

      • (ii) the calendar year for which the credits were issued,

      • (iii) an indication of whether the credits are non-transferable or transferable,

      • (iv) the registration number, assigned by the Minister under subsection 7(3) of these Regulations, of the unit for which the credits were issued, if it is a unit other than the unit that is the subject of the report, and

      • (v) an explanation of how the credits meet the conditions for remittance set out in paragraph 38(5)(a) of these Regulations;

    • The following provision is not in force.

      (b) for each collection of Canadian offset credits issued under subsection 29(1) of the Canadian Greenhouse Gas Offset Credit System Regulations that have the same characteristics and sequential serial numbers,

      • (i) the total number of tonnes of CO2 that the credits represent,

      • (ii) the first and last serial number of the credits,

      • (iii) the year in which the greenhouse gas reduction or removal for which the credits were issued occurred,

      • (iv) the date on which the credits were issued, and

      • (v) an explanation of how the credits meet the conditions for remittance set out in paragraph 38(5)(b) of these Regulations; and

    • The following provision is not in force.

      (c) for each collection of Canadian offset credits recognized under subsection 78(1) of the Output-Based Pricing System Regulations that have the same characteristics and sequential serial numbers,

      • (i) the total number of tonnes of CO2 that the credits represent,

      • (ii) the province or program authority referred to in subsection 78(1) of those Regulations that issued the credits,

      • (iii) the date of retirement of the credits or the date on which the credits were designated by the province or program authority for the purposes of remittance under these Regulations,

      • (iv) the first and last serial number of the credits,

      • (v) the start date of the project for which the credits were issued,

      • (vi) the year in which the greenhouse gas reduction or removal for which the credits were issued occurred,

      • (vii) the offset protocol applicable to the project for which the credits were issued, including the version number and publication date,

      • (viii) the name of the verification body that verified the credits, and

      • (ix) an explanation of how the credits meet the conditions for remittance set out in paragraph 38(5)(b) of these Regulations.

SCHEDULE 7(Subsection 43(1))Notice of Permanent Cessation of Electricity Generation — Information Required

  • 1 The registration number assigned to the unit by the Minister under subsection 7(3) of these Regulations.

  • 2 An attestation, dated and signed by the responsible person or its authorized official, that the unit has permanently ceased generating electricity.

  • 3 The date on which the unit permanently ceased generating electricity.

Page Details

Date modified: